精英家教网 > 高中数学 > 题目详情

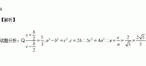
若椭圆的左、右焦点分别为F1、F2,线段F1F2被抛物线的焦点分成5:3两段,则此椭圆的离心率为( )

A. B. C. D.

练习册系列答案
相关习题

科目:高中数学 来源:2015-2016学年山西省高二3月月考理科数学试卷(解析版) 题型:解答题

已知函数f(x)=x3-4x+m在区间(-∞,+∞)上有极大值.

(1)求实数m的值;

(2)求函数f(x)在区间(-∞,+∞)的极小值.

查看答案和解析>>

科目:高中数学 来源:2015-2016学年四川省雅安市高二下期中理科数学试卷(解析版) 题型:解答题

若直线与函数的图象有三个公共点,求实数的取值范围.

查看答案和解析>>

科目:高中数学 来源:2015-2016学年四川省雅安市高二下期中理科数学试卷(解析版) 题型:选择题

函数在点处的导数为( )

(A) (B) (C) (D)

查看答案和解析>>

科目:高中数学 来源:2015-2016学年内蒙古高二下第一次月考文科数学卷(解析版) 题型:解答题

已知复数满足为虚数单位),复数的虚部为2,是实数,求

查看答案和解析>>

科目:高中数学 来源:2015-2016学年内蒙古高二下第一次月考文科数学卷(解析版) 题型:选择题

下表为某班5位同学身高(单位:cm)与体重(单位kg)的数据,

身高

170

171

166

178

160

体重

75

80

70

85

65

若两个量间的回归直线方程为,则的值为( )

A.21 B.123.2 C.121.04 D.45.12

查看答案和解析>>

科目:高中数学 来源:2015-2016学年内蒙古高二下第一次月考理科数学卷(解析版) 题型:解答题

,其中,曲线在点处的切线垂直于轴.

(Ⅰ)求的值;

(Ⅱ)求函数的极值.

查看答案和解析>>

科目:高中数学 来源:2015-2016学年内蒙古高二下第一次月考理科数学卷(解析版) 题型:选择题

下面是关于复数的四个命题:其中的真命题为( )

的共轭复数为的虚部为

A. B. C. D.

查看答案和解析>>

科目:高中数学 来源:2015-2016学年四川省雅安市高二下期中文科数学试卷(解析版) 题型:选择题

已知函数的图象如图所示,则下列说法中错误的是( )

(A)在区间上单调递减

(B)在区间上单调递增

(C)当时,

(D)当时,

查看答案和解析>>

同步练习册答案