精英家教网 > 高中数学 > 题目详情

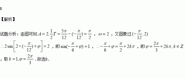
函数在一个周期内的图象如图所示,此函数的解析式为( )

A. B.

C. D.

练习册系列答案
相关习题

科目:高中数学 来源:2015-2016学年山西省高二3月月考理科数学试卷(解析版) 题型:选择题

已知点,曲线恒过定点,为曲线上的动点且的最小值为,则( )

A. B. -1 C. 2 D. 1

查看答案和解析>>

科目:高中数学 来源:2015-2016学年甘肃省嘉峪关市高二上学期期末理科数学试卷(解析版) 题型:选择题

过原点的直线与双曲线有两个交点,则直线的倾斜角的取值范围是( )

A. B.

C. D.

查看答案和解析>>

科目:高中数学 来源:2015-2016学年安徽省高一下期中数学试卷(解析版) 题型:填空题

已知函数,其中,若的值域是,则的取值范围是 .

查看答案和解析>>

科目:高中数学 来源:2015-2016学年安徽省高一下期中数学试卷(解析版) 题型:选择题

已知是直线上一动点,是圆的两条切线,是切点,若四边形的最小面积是2,则的值为( )

A.3 B. C. D.2

查看答案和解析>>

科目:高中数学 来源:2015-2016学年辽宁东北育才学校高二下期中文科数学试卷(解析版) 题型:解答题

设函数

(1)解不等式

(2)若对一切实数均成立,求的取值范围.

查看答案和解析>>

科目:高中数学 来源:2015-2016学年辽宁东北育才学校高二下期中文科数学试卷(解析版) 题型:选择题

已知定义在R上的可导函数的导函数为,满足,且为偶函数,,则不等式的解集为( )

A. B. C. D.

查看答案和解析>>

科目:高中数学 来源:2015-2016学年辽宁东北育才学校高二下期中理科数学试卷(解析版) 题型:解答题

(Ⅰ)若,时,求复数的模的取值范围;

(Ⅱ)在复数范围内解关于方程(为虚数单位).

查看答案和解析>>

科目:高中数学 来源:2016届江苏省高三考前一周双练冲刺四数学试卷(解析版) 题型:解答题

选修4-5:不等式选讲

已知 ,求的最小值.

查看答案和解析>>

同步练习册答案