精英家教网 > 高中数学 > 题目详情
在△ABC中,已知2sinAcosB=sinC,那么△ABC一定是    三角形.
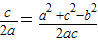
【答案】分析:由正弦定理可得2acosB=c,由余弦定理可得cosB=,可得,化简可得a=b,进而可得答案.
解答:解:由正弦定理可得 2acosB=c,又由余弦定理可得cosB=
∴cosB=,∴a2=b2
故a=b,故△ABC一定是等腰三角形,
故答案为:等腰.
点评:本题考查正弦定理,余弦定理的应用,得到 cosB=,是解题的关键.
练习册系列答案
相关习题

科目:高中数学 来源: 题型:

在△ABC中,已知c=2,∠A=120°,a=2
3
,则∠B=
 

查看答案和解析>>

科目:高中数学 来源: 题型:

在△ABC中,已知c=
6
,A=45°,a=2,则B=
75°或15°
75°或15°

查看答案和解析>>

科目:高中数学 来源: 题型:

在△ABC中,已知asinA+csinC-
2
asinC=bsinB

(1)求B;
(2)若C=60°,b=2,求c与a.

查看答案和解析>>

科目:高中数学 来源:同步题 题型:填空题

在△ABC中,已知=2,∠BAC=30°,设M是△ABC内的一点(不在边界上),定义f(M)=(x,y,z),其中x,y,z分别表示△MBC、△MCA、△MAB的面积,若f(M)=(x,y,),则的最小值为(    )。

查看答案和解析>>

科目:高中数学 来源: 题型:

如图2,在△ABC中,已知= 2= 3,过M作直线交AB、AC于P、Q两点,则+=                

查看答案和解析>>

同步练习册答案