精英家教网 > 高中数学 > 题目详情
已知焦点在x轴上,中心在坐标原点的椭圆C的离心率为,且过点
(Ⅰ)求椭圆C的方程;
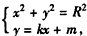
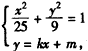
(Ⅱ)直线l分别切椭圆C与圆M:x2+y2=R2(其中3<R<5)于A,B两点,求|AB|的最大值。

解:(Ⅰ)设椭圆的方程为


∵椭圆过点
,解得:
故椭圆的方程为
 (Ⅱ)设分别为直线l与椭圆和圆的切点,
直线AB的方程为
因A既在椭圆上,又在直线AB上,
从而有,消去y,得
由于直线与椭圆相切,

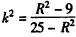
从而可得,①
,②
消去y,得
由于直线与圆相切,得,③
,④
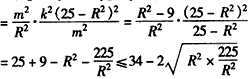
由②④,得
由①③,得


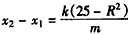
=34-30=4,
,当且仅当时取等号,
所以,|AB|的最大值为2。

练习册系列答案
相关习题

科目:高中数学 来源: 题型:

已知椭圆的中心在原点,焦点在x轴上,离心率为
3
2
,过点M(-1,0)的直线l与椭圆交于P、Q两点.
(1)若直线l的斜率为1,且
PM
=-
3
5
QM
,求椭圆的标准方程;
(2)若(1)中椭圆的右顶点为A,直线l的倾斜角为α,问α为何值时,
AP
AQ
取得最大值,并求出这个最大值.

查看答案和解析>>

科目:高中数学 来源: 题型:

(2013•山东)在平面直角坐标系xOy中,已知椭圆C的中心在原点O,焦点在x轴上,短轴长为2,离心率为
2
2

(Ⅰ)求椭圆C的方程
(Ⅱ)A,B为椭圆C上满足△AOB的面积为
6
4
的任意两点,E为线段AB的中点,射线OE交椭圆C与点P,设
OP
=t
OE
,求实数t的值.

查看答案和解析>>

科目:高中数学 来源: 题型:

(2008•深圳二模)已知椭圆C的中心在原点,焦点在x轴上,点F1、F2分别是椭圆的左、右焦点,在椭圆C的右准线上的点P(2,
3
)
,满足线段PF1的中垂线过点F2.直线l:y=kx+m为动直线,且直线l与椭圆C交于不同的两点A、B.
(Ⅰ)求椭圆C的方程;
(Ⅱ)若在椭圆C上存在点Q,满足
OA
+
OB
OQ
(O为坐标原点),求实数λ的取值范围;
(Ⅲ)在(Ⅱ)的条件下,当λ取何值时,△ABO的面积最大,并求出这个最大值.

查看答案和解析>>

科目:高中数学 来源: 题型:

在平面直角坐标系xOy中,已知焦点在x轴上的双曲线的渐近线方程为x±2y=0,则该双曲线的离心率为
 

查看答案和解析>>

科目:高中数学 来源: 题型:

精英家教网已知椭圆的中心在坐标原点,焦点在x轴上,并且焦距为2,短轴与长轴的比是
3
2

(1)求椭圆的方程;
(2)已知椭圆中有如下定理:过椭圆
x2
a2
+
y2
b2
=1(a>b>0)
上任意一点M(x0,y0)的切线唯一,且方程为
x0x
a2
+
y0y
b2
=1
,利用此定理求过椭圆的点(1,
3
2
)
的切线的方程;
(3)如图,过椭圆的右准线上一点P,向椭圆引两条切线PA,PB,切点为A,B,求证:A,F,B三点共线.

查看答案和解析>>

同步练习册答案