精英家教网 > 高中数学 > 题目详情
有甲、乙两个盒子,甲盒中有6张卡片,其中2张写有数字0,2张写有数字1,2张写有数字2;乙盒中也有6张卡片,其中3张写有数字0,2张写有数字1,1张写有数字2,如果从甲盒中取1张卡片,乙盒中取2张卡片,设取出的3张卡片数字之积为随机变量ξ,
(1)求ξ的分布列和数学期望;
(2)记“函数f(x)=sin(2x+ξ),按向量a=(,0)平移后得到一条对称轴为x=的函数g(x)”为事件A,求事件A发生的概率.
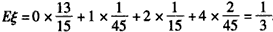
解:(1)由题意知ξ的取值为0,1,2,3,4,


ξ的分布列为


(2)∵


练习册系列答案
相关习题

科目:高中数学 来源: 题型:

有甲、乙两个盒子,甲盒子中有8张卡片,其中两张写有数字0,三张写有数字1,三张写有数字2;乙盒子中有8张卡片,其中三张写有数字0,两张写有数字1,三张写有数字2.   
(1)如果从甲盒子中取两张卡片,从乙盒子中取一张卡片,那么取出的3张卡片都写有1的概率是多少?
(2)如果从甲、乙盒子中各取一张卡片,设取出的两张卡片数字之和为ξ,求ξ的分布列和期望值.

查看答案和解析>>

科目:高中数学 来源: 题型:

(09年长沙一中一模文)(12分)  现有甲、乙两个盒子,甲盒子里盛有4个白球和4个红球,乙盒子里盛有3个白球和若干个红球,若从乙盒子里任取两个球取得同色球的概率为

(1)求乙盒子中红球的个数;

(2)从甲、乙盒子里各任取两个球进行交换,若交换后乙盒子里的白球数和红球数相等,就说这次交换是成功的,试求进行一次这样的交换成功的概率是多少?

查看答案和解析>>

科目:高中数学 来源:2012-2013学年天津市高三第三次月考理科数学试卷(解析版) 题型:解答题

有甲,乙两个盒子,甲盒中装有2个小球,乙盒中装有3个小球,每次随机选取一个盒子并从中取出一个小球

(1)当甲盒中的球被取完时,求乙盒中恰剩下1个球的概率;

(2)当第一次取完一个盒子中的球时,另一个盒子恰剩下个球,求的分布列及期望

 

查看答案和解析>>

科目:高中数学 来源:不详 题型:解答题

有甲、乙两个盒子,甲盒子中有8张卡片,其中两张写有数字0,三张写有数字1,三张写有数字2;乙盒子中有8张卡片,其中三张写有数字0,两张写有数字1,三张写有数字2.   
(1)如果从甲盒子中取两张卡片,从乙盒子中取一张卡片,那么取出的3张卡片都写有1的概率是多少?
(2)如果从甲、乙盒子中各取一张卡片,设取出的两张卡片数字之和为ξ,求ξ的分布列和期望值.

查看答案和解析>>

科目:高中数学 来源:不详 题型:解答题

有甲、乙两个盒子,甲盒子中有8张卡片,其中两张写有数字0,三张写有数字1,三张写有数字2;乙盒子中有8张卡片,其中三张写有数字0,两张写有数字1,三张写有数字2.   
(1)如果从甲盒子中取两张卡片,从乙盒子中取一张卡片,那么取出的3张卡片都写有1的概率是多少?
(2)如果从甲、乙盒子中各取一张卡片,设取出的两张卡片数字之和为ξ,求ξ的分布列和期望值.

查看答案和解析>>

同步练习册答案