精英家教网 > 高中数学 > 题目详情

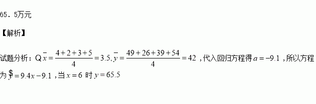
某产品的广告费用x与销售额y的统计数据如下表:

广告费用x(万元)

4

2

3

5

销售额y(万元)

49

26

39

54

根据上表可得回归方程中的为9.4,据此模型预报广告费用为6万元时销售额为______万元

练习册系列答案
相关习题

科目:高中数学 来源:2015-2016学年重庆八中高二下期末文科数学试卷(解析版) 题型:填空题

已知四棱锥个顶点都在球的球面上,若底面为距形,,且四棱锥体积的最大值为,则球的表面积为

查看答案和解析>>

科目:高中数学 来源:2016届河南省高考押题一文科数学试卷(解析版) 题型:解答题

已知函数.

(1)当函数在点处的切线方程为,求函数的解析式;

(2)当时,函数上单调递减,试求的取值范围;

(3)在(1)的条件下,若是函数的零点,且,求的值.

查看答案和解析>>

科目:高中数学 来源:2016届河南省高考押题一文科数学试卷(解析版) 题型:选择题

函数过定点,且角的终边过点,则的值为( )

A. B. C.4 D.5

查看答案和解析>>

科目:高中数学 来源:2015-2016学年广西宾阳中学高二3月月考文科数学试卷(解析版) 题型:解答题

调查某市出租车使用年限x和该年支出维修费用y(万元),得到数据如下

2

3

4

5

6

2.2

3.8

5.5

6.5

7

(1)画出关于的散点图

(2)用最小二乘法求出回归直线方程

(3)由(2)中结论预测第10年所支出的维修费用

参考数据:

查看答案和解析>>

科目:高中数学 来源:2015-2016学年广西宾阳中学高二3月月考文科数学试卷(解析版) 题型:选择题

下图中所示的程序框图,输出S的表达式为( )

A、 B、 C、 D、

查看答案和解析>>

科目:高中数学 来源:2015-2016学年广西宾阳中学高二3月月考文科数学试卷(解析版) 题型:选择题

,则在复平面内对应的点位于( )

A.第一象限 B.第二象限 C.第三象限 D.第四象限

查看答案和解析>>

科目:高中数学 来源:2015-2016学年广西宾阳中学高二3月月考理科数学试卷(解析版) 题型:选择题

函数已知在x=-3时取得极值,则= ( )

A.2 B.3 C.4 D.5

查看答案和解析>>

科目:高中数学 来源:2015-2016学年辽宁鞍山一中等校高一下期末数学试卷(解析版) 题型:选择题

已知,则( )

A. B. C. D.

查看答案和解析>>

同步练习册答案