精英家教网 > 高中数学 > 题目详情

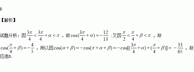
已知,则( )

A. B. C. D.

练习册系列答案
相关习题

科目:高中数学 来源:2015-2016学年广西宾阳中学高二3月月考文科数学试卷(解析版) 题型:填空题

某产品的广告费用x与销售额y的统计数据如下表:

广告费用x(万元)

4

2

3

5

销售额y(万元)

49

26

39

54

根据上表可得回归方程中的为9.4,据此模型预报广告费用为6万元时销售额为______万元

查看答案和解析>>

科目:高中数学 来源:2015-2016学年福建省高二下期中理科数学B卷(解析版) 题型:解答题

选修4-4 坐标系与参数方程

在平面直角坐标系中,直线的参数方程为 ( 为参数).以原点为极点, 轴正半轴为极轴 建立极坐标系,圆的方程为

(1)写出直线的普通方程和圆的直角坐标方程;

(2)若点的直角坐标为,圆与直线交于A,B两点,求的值.

查看答案和解析>>

科目:高中数学 来源:2015-2016学年辽宁鞍山一中等校高一下期末数学试卷(解析版) 题型:解答题

已知函数.

(1)若对任意的,均有,求的取值范围;

(2)若对任意的,均有,求的取值范围.

查看答案和解析>>

科目:高中数学 来源:2015-2016学年辽宁鞍山一中等校高一下期末数学试卷(解析版) 题型:填空题

运行如图所示的框图,如果输出的,则输入的的取值范围为 .

查看答案和解析>>

科目:高中数学 来源:2015-2016学年辽宁鞍山一中等校高一下期末数学试卷(解析版) 题型:选择题

中,角的对边分别为.已知,则角大小为( )

A. B. C. D.

查看答案和解析>>

科目:高中数学 来源:2015-2016学年辽宁鞍山一中等校高二下期末理科数学试卷(解析版) 题型:解答题

选修4—1:平面几何证明选讲

如图,切⊙为⊙的割线.

(1)求证:

(2)已知,求的比值.

查看答案和解析>>

科目:高中数学 来源:2015-2016学年辽宁鞍山一中等校高二下期末理科数学试卷(解析版) 题型:选择题

已知变量之间的线性回归方程为,且变量之间的一组相关数据如下表所示,则下列说法错误的是( )

A.变量之间呈现负相关关系

B.

C.可以预测,当时,

D.由表格数据知,该回归直线必过点

查看答案和解析>>

科目:高中数学 来源:2017届湖南师大附中高三上入学摸底文科数学试卷(解析版) 题型:选择题

已知a,b∈R,直线y=ax+b+与函数f=tan x的图象在x=-处相切,设g=ex+bx2+a,若在区间上,不等式m≤g≤m2-2恒成立,则实数m

A.有最大值e B.有最大值e+1

C.有最小值-e D.有最小值e

查看答案和解析>>

同步练习册答案