精英家教网 > 高中数学 > 题目详情

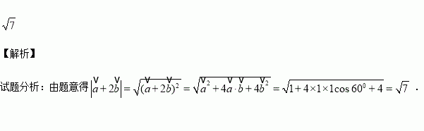
已知向量满足的夹角为60°,则____________.

练习册系列答案
相关习题

科目:高中数学 来源:2016届江西省高三第三次模拟文科数学试卷(解析版) 题型:填空题

在区间内任取一数,则满足条件的概率为 .

查看答案和解析>>

科目:高中数学 来源:2016年山西省高考冲刺压轴卷三理科数学试卷(解析版) 题型:解答题

已知椭圆的中心在原点,焦点在坐标轴上,且经过两点.

(Ⅰ)求的方程;

(Ⅱ)设直线交于两点,且以为对角线的菱形的一顶点为,求面积的最大值及此时直线的方程.

查看答案和解析>>

科目:高中数学 来源:2016年山西省高考冲刺压轴卷三理科数学试卷(解析版) 题型:选择题

设向量,且,则实数( )

A. B. C. D.

查看答案和解析>>

科目:高中数学 来源:2015-2016学年河北冀州中学高一下期末文科数学试卷(解析版) 题型:解答题

已知,且

(1)求的值;

(2)若,求的值.

查看答案和解析>>

科目:高中数学 来源:2015-2016学年河北冀州中学高一下期末文科数学试卷(解析版) 题型:选择题

已知定义在上的奇函数满足,则的值为( )

A.-1 B.0 C.1 D.2

查看答案和解析>>

科目:高中数学 来源:2015-2016学年河北冀州中学高一下期末文科数学试卷(解析版) 题型:选择题

已知的边的中点,所在平面内有一个点,满足,则 的值为( )

A. B. C.1 D.2

查看答案和解析>>

科目:高中数学 来源:2016届贵州省招生模拟文科数学试卷(解析版) 题型:选择题

若函数的图象在处的切线与圆相切,则的最大值是( )

A. B. C. D.

查看答案和解析>>

科目:高中数学 来源:2015-2016学年山西省高二3月月考理科数学试卷(解析版) 题型:填空题

已知:,观察下列式子:类比有,则的值为

查看答案和解析>>

同步练习册答案