精英家教网 > 高中数学 > 题目详情

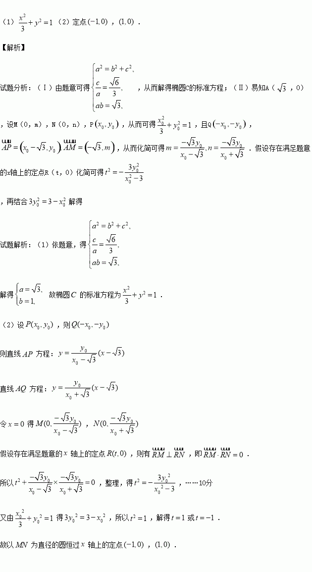
椭圆的离心率为,以其四个顶点为顶点的四边形的面积等于

(1)求椭圆C的标准方程;

(2)过原点且斜率不为0的直线与椭圆C交于P,Q两点,A是椭圆C的右顶点,直线AP,AQ分别与y轴交于点M,N,问:以MN为直径的圆是否恒过x轴上的定点?若恒过x轴上的定点,请求出该定点的坐标;若不恒过轴上的定点,请说明理由.

练习册系列答案
相关习题

科目:高中数学 来源:2017届河北衡水中学高三上学期一调考试数学(文)试卷(解析版) 题型:解答题

中,内角所对应的边分别为,已知A.

(1)求

(2)若,求的值.

查看答案和解析>>

科目:高中数学 来源:2017届河北衡水中学高三上学期一调考试数学(理)试卷(解析版) 题型:选择题

已知集合,则( )

A. B. C. D.

查看答案和解析>>

科目:高中数学 来源:2015-2016学年辽宁瓦房店市高二下期末数学(文)试卷(解析版) 题型:选择题

在区间[-1,1]上随机取一个数x,则sin的值介于-之间的概率为 ( )

A. B. C. D.

查看答案和解析>>

科目:高中数学 来源:2015-2016学年辽宁瓦房店市高二下期末数学(文)试卷(解析版) 题型:选择题

复数(其中i为虚数单位)的虚部为( )

A. B. C. D.

查看答案和解析>>

科目:高中数学 来源:2015-2016学年辽宁瓦房店市高二下期末数学(理)试卷(解析版) 题型:填空题

展开式中常数项为__________.

查看答案和解析>>

科目:高中数学 来源:2015-2016学年辽宁瓦房店市高二下期末数学(理)试卷(解析版) 题型:选择题

某大学的名同学准备拼车去旅游,其中大一、大二、大三、大四每个年级各两名,分乘甲、乙两辆汽车,每车限坐名同学(乘同一辆车的名同学不考虑位置),其中大一的孪生姐妹需乘同一辆车,则乘坐甲车的名同学中恰有名同学是来自同一年级的乘坐方式共有( )

A.种 B.种 C.种 D.

查看答案和解析>>

科目:高中数学 来源:2015-2016学年辽宁省协作校高二下期末数学(文)试卷(解析版) 题型:填空题

如图所示(算法流程图)的输出值x=______

查看答案和解析>>

科目:高中数学 来源:2015-2016学年湖南娄底市高一下学期期末数学试卷(解析版) 题型:解答题

已知点P(x、y)满足

(1)若,则求的概率.

(2)若,则求的概率.

查看答案和解析>>

同步练习册答案