精英家教网 > 高中物理 > 题目详情
质量为M的气球上有一质量为m的人,共同静止在距地面高为h的高空中,现在从气球上放下一根不计质量的软绳,人沿着软绳下滑到地面,软绳至少为多长,人才能安全到达地面?
解:设人下滑过程某一时刻速度大小为v,此时气球上升的速度大小为V,取向上方向为正方向,由动量守恒定律得:
MV-mv=0,即MV=mv
由于下滑过程中的任一时刻,人和气球的速度都满足上述关系,故它们在这一过程的平均速度也满足这一关系,即
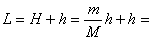
,即MH=mh
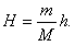
气球上升的高度为
人要安全到达地面,绳长至少为
练习册系列答案
相关习题

科目:高中物理 来源: 题型:

质量为 M的气球上有一质量为 m的猴子,如图16-1所示.气球和猴子静止在离地高为 h的空中.从气球上放下一架不计质量的软梯,为使猴子沿软梯安全滑至地面,则软梯至少应为多长?

图16-1

查看答案和解析>>

科目:高中物理 来源: 题型:

质量为M的气球上有一质量为m的人,共同静止在距地面高为h的空中.现在从气球中放下一根不计质量的软绳,人沿着软绳下滑到地面.则软绳至少为多长,人才能安全到达地面?

查看答案和解析>>

科目:高中物理 来源: 题型:

质量为M的气球上有一质量为m的人,共同静止在距地面高为h0的空中,现在从气球上放下一根不计质量的软绳,以便这个人沿着软绳匀速滑到地面.则软绳至少应为H=_________时,人才能安全到达地面.(试用M、m、h0来表示绳长,空气阻力不计)

查看答案和解析>>

科目:高中物理 来源: 题型:

质量为M的气球上有一质量为m的人,共同静止在距地面高为h0的空中,现在从气球上放下一根不计质量的软绳,以便这个人沿着软绳匀速滑到地面.则软绳至少应为H=_________时,人才能安全到达地面.(试用M、m、h0来表示绳长,空气阻力不计)

查看答案和解析>>

科目:高中物理 来源: 题型:

质量为M的气球上有一质量为m的人,共同静止在距地面高为h的空中.现在从气球中放下一根不计质量的软绳,人沿着软绳下滑到地面.则软绳至少为多长,人才能安全到达地面?

查看答案和解析>>

同步练习册答案