精英家教网 > 高中物理 > 题目详情

【题目】如图所示,在竖直平面内有一直角坐标系O-xy,在该平面内有一平行y轴的匀强电场,大小为E,方向竖直向下。一过坐标原点与x轴成θ = 60°角的无穷大的平板与竖直平面垂直。在y轴上某点有一质量为m。电荷量为+q的粒子以某一速度垂直电场射入电场,经过时间t1时,在该平面内再另加一匀强电场E1,粒子再经过时间t2t1= t2= t时,恰好垂直接触平板,且接触平板时速度为零,忽略粒子所受的重力,求:

(1)粒子射入电场时的速度大小和在y轴上的位置;

(2)E1的大小以及与y轴之间的夹角α的正切值。

【答案】(1) (2)

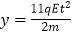
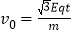
【解析】(1)设粒子的初速度为v0,在t1时间内做类平抛运动,粒子在电场中的加速度为

粒子在电场中的竖直速度为,按题意分析得到:

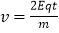
联立解得粒子抛出时速度

t1时刻粒子的速度为

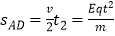
对应的位移为:

加电场E1后,粒子从AD做匀减速直线运动,故有:

所以

故抛出点的y坐标为

(2)如图所示,设E1方向与y轴成α角,由粒子从AD的匀减速直线运动有:

联立解得:

练习册系列答案
相关习题

科目:高中物理 来源: 题型:

【题目】质点做直线运动的位移x与时间t的关系为x=5t+t2(各物理量均采用国际单位),则该质点( )

A. 1s内的位移是5m

B. 2s内的平均速度是6m/s

C. 任意相邻的1s 内位移差都是1m

D. 任意1s内的速度增量都是2m/s

查看答案和解析>>

科目:高中物理 来源: 题型:

【题目】如图所示,一闭合金属圆环用绝缘细绳挂于O点,将圆环拉离平衡位置并释放,圆环摆动过程中经过匀强磁场区域,则(空气阻力不计)( )

A.圆环向右穿过磁场后,还能摆至原高度
B.在进入和离开磁场时,圆环中均有感应电流
C.圆环进入磁场后离平衡位置越近速度越大,感应电流也越大
D.圆环最终将静止在平衡位置

查看答案和解析>>

科目:高中物理 来源: 题型:

【题目】在利用打点计时器探究加速度与力、质量的关系的实验中,

(1)本实验应用的实验方法是_______________

(2)以下做法正确的是(______

A.平衡摩擦力时,应将重物用细绳通过定滑轮系在小车上

B.每次改变小车的质量时,不需要重新平衡摩擦力

C小车释放前应靠近打点计时器,且应先接电源再释放小车

D重物的质量远小于小车的质量这一条件如不满足,对探究过程不会产生影响

(3)实验中打出的纸带如图所示.相邻计数点间的时间是0.1 s,图中长度单位是cm,由此可以算出小车运动的加速度是________m/s2.保留两位有效数字)

(4)如图a,甲同学根据测量数据画出aF图线,表明实验的问题是________

(5)乙、丙同学用同一装置实验,画出了各自得到的aF图线如图b所示,说明两个同学做实验时______取值不同。它们的大小关系为乙 ____.(填大于或小于)

查看答案和解析>>

科目:高中物理 来源: 题型:

【题目】如图所示,矩形线圈abcd与理想变压器原线圈组成闭合电路,线圈在有界匀强磁场中绕垂直于磁场的bc边匀速转动,磁场只分布在bc边的左侧,磁感应强度大小为B,线圈面积为S,转动角速度为ω,匝数为N,线圈电阻不计.下列说法正确的是( )

A. 将原线圈抽头P向下滑动时,灯泡变亮

B. 线圈abcd转动过程中,线圈最大磁通量为NBS

C. 图示位置时,矩形线圈中磁通量的变化率最大

D. 若线圈abcd转动的角速度变为2ω,则变压器原线圈电压的有效值为NBSω

查看答案和解析>>

科目:高中物理 来源: 题型:

【题目】一质点在x轴上运动,它在连续第n秒末所对应的坐标记录在如下表格中,则下列说法正确的是(

A. 4s内的位移大小最大

B. 2s内的路程最大

C. 3s内的路程为2m

D. 5s内的位移大小最小

查看答案和解析>>

科目:高中物理 来源: 题型:

【题目】下列说法中正确的是_________.(填正确答案标号.选对1个得2分,选对2个得4分.选对3个得5分.每选错1个扣3分,最低得分为0分)

A.所有的晶体都有固定的熔点和规则的几何形状

B.液体表面张力与浸润现象都是分子力作用的表现

C.干湿泡温度计的示数差越大,表示空气中水蒸气离饱和状态越远

D.悬浮在水中花粉颗粒的布朗运动反映了花粉分子做无规则的热运动

E.在绝热过程中,一个热力学系统的内能增量等于外界对它所做的功

查看答案和解析>>

科目:高中物理 来源: 题型:

【题目】如图所示,重力为G的物体静止在倾角为α的斜面上,将重力G分解为垂直斜面向下的力F1和平行斜面向下的力F2,那么下列说法正确的是(

A. F1不是物体对斜面的压力

B. 物体对斜面的压力方向与F1方向相同,大小为Gcosα

C. F2就是物体受到的静摩擦力

D. 物体受到重力、斜面对物体的支持力、静摩擦力、F1F2共五个力的作用

查看答案和解析>>

科目:高中物理 来源: 题型:

【题目】如图1所示,巴铁(又称“陆地空客”)是一种能有效缓解城市拥堵的未来交通工具,某实验室为了研究其运行时的动力学特性,制造了一辆质量为200kg的模型车,该模型车在运行时所受阻力为车重的0.08倍,某次试验中该车在25s内运动的v﹣t图象如图2所示,试求:

(1)模型巴铁4s末的加速度大小;
(2)0到5s内模型巴铁发动机输出的牵引力大小;
(3)模型巴铁在此25秒内运动的位移.

查看答案和解析>>

同步练习册答案