精英家教网 > 高中物理 > 题目详情
如图所示,巡查员站立于一空的贮液池边,检查池角处出液口的安全情况。已知池宽为L,照明灯到池底的距离为H。若保持照明光束方向不变,向贮液池中注入某种液体,当液面高为时,池底的光斑距离出液口
(1)试求当液面高为时,池底的光斑到出液口的距离x。
(2)控制出液口缓慢地排出液体,使液面以v0的速率匀速下降,试求池底的光斑移动的速率vx
解:
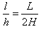
(1)解法一:由几何关系知:
由折射定律得:
代入得:

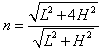
解法二:由几何关系知:
液面高度变化,折射角不变,由得:


解得:
(2)
练习册系列答案
相关习题

科目:高中物理 来源: 题型:

如图所示,巡查员站立于一空的贮液池边,检查池角处出液口的安全情况.已知池宽为L,照明灯到池底的距离为H.若保持照明光束方向不变,向贮液池中注入某种液体,当液面高为
H
2
时,池底的光斑距离出液口
L
4
.试求当液面高为
2H
3
时,池底的光斑到出液口的距离x.

查看答案和解析>>

科目:高中物理 来源: 题型:

如图所示,巡查员站立于一空的贮液池边,检查池角处出液口的安全情况.已知池宽为L,照明灯到池底的距离为H.若保持照明光束方向不变,向贮液池中注入某种液体,当液面高为
2H
3
时,池底的光斑距离出液口
L
4
.试求当液面高为
H
2
时,池底的光斑到出液口的距离X.

查看答案和解析>>

科目:高中物理 来源: 题型:

(2007?江苏)如图所示,巡查员站立于一空的贮液池边,检查池角处出液口的安全情况.已知池宽为L,照明灯到池底的距离为H.若保持照明光束方向不变,向贮液池中注入某种液体,当液面高为
H
2
时,池底的光斑距离出液口
L
4

(1)试求当液面高为
2
3
H
时,池底的光斑到出液口的距离x.
(2)控制出液口缓慢地排出液体,使液面以v0的速率匀速下降,试求池底的光斑移动的速率vx

查看答案和解析>>

科目:高中物理 来源: 题型:

如图所示,巡查员站立于一空的贮液池边,检查池角处出液口的安全情况.已知池宽为L,照明灯到池底的距离为H.若保持照明光束方向不变,向贮液池中注入某种液体,当液面高为
2
3
H
时,池底的光斑距离出液口
L
4

(1)试求当液面高为
H
2
时,池底的光斑到出液口的距离X,
(2)控制出液口缓慢排出液体,使液体以Vh的速率匀速下降,求池底光斑移动的速率Vx

查看答案和解析>>

科目:高中物理 来源: 题型:

(07年江苏卷)(14分)如图所示,巡查员站立于一空的贮液池边,检查池角处出液口的安全情况。已知池宽为L,照明灯到池底的距离为H。若保持照明光束方向不变,向贮液池中注入某种液体,当液面高为H/2时,池底的光斑距离出液口L/4。

(1)试求当液面高为2H/3时,池底的光斑到出液口的距离x。

(2)控制出液口缓慢地排出液体,使液面以的速率匀速下降,试求池底的光斑移动的速率v x

查看答案和解析>>

同步练习册答案