精英家教网 > 高中物理 > 题目详情

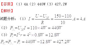
有一起重机用的是直流电动机,如图14所示,其内阻r=0.8Ω,线路电阻R=10Ω,电源电压U=150V,伏特表的示数为110V,求:

(1)通过电动机的电流.
(2)输入到电动机的功率P
(3)电动机的发热功率Pr,电动机输出的机械功率.

练习册系列答案
相关习题

科目:高中物理 来源: 题型:


某品牌电动自行车的铭牌如下:

 车型、20吋(车轮直径: 508 mm)

电池规格:36 V  12 Ah(蓄电池)

整车质量:40 kg

额定转速:210 r/min(转/分)

外形尺寸:L 1800 mm×W 650 mm×H 1100 mm

充电时间:2~8 h

电机、后轮驱动、直流永磁式电机

额定工作电压/电流:36 V/5 A

  根据此铭牌中的有关数据,可知该车的额定时速约为(      )

 A、15 km/h              B、18 km/h             C、20 km/h               D、25 km/h

查看答案和解析>>

科目:高中物理 来源: 题型:


图为根据龟兔赛跑故事画出的位移—时间图象,由图可知下列说法正确的是(      )

A.乌龟和兔子赛跑是同时从同一地点出发的

B.乌龟和兔子赛跑是同时出发,但出发点是不同的

C.兔子虽然中途休息了一会儿,但最终先到达终点

D.乌龟中途落后,但最终比兔子先到终点

查看答案和解析>>

科目:高中物理 来源: 题型:


如图3所示,a,b,c为电场中同一条电场线上的三点,其中c为ab的中点.已知a,b两点的电势分别为φa=3 V,φb=9 V,则下列叙述正确的是(  ).

A.该电场在c点处的电势一定为6 V

B.a点处的场强Ea一定小于b点处的场强Eb

C.正电荷从a点运动到b点的过程中电势能一定增大

D.正电荷只受电场力作用从a点运动到b点的过程中动能一定增大

查看答案和解析>>

科目:高中物理 来源: 题型:


如图9(a),直线MN表示某电场中一条电场线,a、b是线上的两点,将一带负电荷的粒子从a点处由静止释放,粒子从a运动到b过程中的v-t图线如图9(b)所示,设a、b两点的电势分别为,场强大小分别为,粒子在a、b两点的电势能分别为,不计重力,则有

A.              B.        

C.              D.

 

 

 

 

 

 

查看答案和解析>>

科目:高中物理 来源: 题型:


下列实例中,能把研究对象视为质点的是   

   A. 研究地球绕太阳的运动规律        B. 研究地球的昼夜交替规律

   C. 研究乒乓球运动员在削球时的乒乓球 

 D. 研究一列火车通过南京长江大桥所需的时间

查看答案和解析>>

科目:高中物理 来源: 题型:


小球从空中自由下落,与水平地面相碰后反弹到空中某一高度,其速度—时间图象如图所示,由图可知,在最初运动的0.8s内                

A.小球下落初速度为5 m/s

B.小球反弹离开地面时的速度大小为5 m/s

C.小球反弹能到达的最大高度为0.45 m

D.小球反弹能到达的最大高度为1.25 m

查看答案和解析>>

科目:高中物理 来源: 题型:


如图所示电路,电源的内电阻不可忽略。开关S闭合后,在变阻器R0的滑动端向下滑动的过程中:(      )

A.电压表的示数增大       

B.电流表的示数增大

C.R1消耗的电功率增大      

D.R2消耗的电功率增大

查看答案和解析>>

科目:高中物理 来源: 题型:


一物体沿直线由静止开始以加速度a1做匀加速直线运动,前进位移xl后立刻以大小为a2的加速度做匀减速直线运动,又前进x2速度恰好为零。已知x1x2,则以下说法中正确的是:(      )

A. 物体通过x1x2两段位移的平均速度相等

B. 物体通过x1x2各自中点的瞬时速度相等

C. 物体通过x1x2两段位移所用的时间t1t2

D. 两个加速度a1a2的大小关系是a1a2

查看答案和解析>>

同步练习册答案