精英家教网 > 高中物理 > 题目详情
如图AB是一段位于竖直平面内的光滑轨道,高度为h,末端B处的切线方向水平,一个质量为m的小物块P从轨道顶端A处静止释放,滑到B端后飞出,落到地面上的点C,已知它落地相对于点B的水平位移。现在轨道下方紧贴点B安装一水平传送带,传送带的右端与B间的距离为,当传送带静止时让物体P再次从点A由静止释放,它离开轨道并在传送带上滑行后从右端水平飞出,仍然落在地面的点C。取g=10m/s2
(1)求物体P滑至B点时的速度大小;
(2)求物体P与传送带之间的动摩擦因数;
(3)若皮带轮缘以的线速度顺时针匀速转动,求物体落点D到O点的距离。
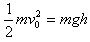
解:(1)根据机械能守恒定律有
解得
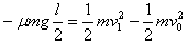
(2)在两种情况下物体P在空中的运动时间相同,

根据动能定理有
解得
(3)分析可知物体在传送带上先减速后匀速运动,接着以的初速度平抛设落地点为D

由第(2)问知
由以上两式联立解得
练习册系列答案
相关习题

科目:高中物理 来源: 题型:

如图所示,竖直平面内有一相距l的两根足够长的金属导轨位于磁感应强度为B的匀强磁场中,质量为m的均匀金属导体棒ab可在导轨上无摩擦地上下滑动,且导体棒ab与金属导轨接触良好,ab电阻为R,其它电阻不计.导体棒ab由静止开始下落,过一段时间后闭合电键S,发现导体棒ab仍作变速运动,则在闭合电键S以后,下列说法是正确的是(  )

查看答案和解析>>

科目:高中物理 来源: 题型:

如图所示,在理想边界MN的上方有方向向右的匀强电场E,下方有垂直纸面向外的磁感应强度大小为B=0.20T的匀强磁场,电场和磁场的范围足够大.一根光滑的绝缘塑料细杆abcd弯成图示形状,其中ab段是竖直的,bcd正好构成半径为R1=0.20m的半圆,bd位于边界MN上,将一个质量为m=0.10kg、电量为q=0.50C的带正电金属环套在塑料杆ab上,从距离b点高R处由静止开始释放后,g=10m/s2.求:
(1)金属环经过最低点c处时对塑料杆的作用力;
(2)如果金属环从d点进入电场后,正好垂直打在塑料杆ab段上,求电场强度E的大小.

查看答案和解析>>

科目:高中物理 来源: 题型:

(2011?株洲一模)目前,滑板运动受到青少年的追捧.如图是某滑板运动员在一次表演时的一部分赛道在竖直平面内的示意图.圆弧赛道AB、CD段光滑,BC段赛道水平且粗糙,赛道BC长为L=3m,C为最低点并与水平赛道BC位于同一水平面,平台的高度都为h=1.8m.B、C处平滑连接.滑板a的质量m=5kg,运动员质量M=45kg.表演开始,运动员站在滑板a上.从A点静止下滑,滑上BC赛道后,沿CD赛道上冲至高度h1=1.6m,(滑板和运动员的所有运动都在同一竖直平面内,计算时滑板和运动员都看作质点,取g=10m/s2).求:
    (1)BC段赛道的动摩擦因数.
    (2)运动员在BC赛道通过的总路程.

查看答案和解析>>

科目:高中物理 来源: 题型:

如图所示,ABC为一绝缘轨道,其中AB段是位于竖直平面的
14
圆弧形光滑轨道,半径(R=0.45m),BC段是粗糙的水平轨道,且处于竖直向下的匀强电场中,场强E=4×104N/C.现有一质量,m=0.1kg,电荷量为q=+5.0×10-6C的小物块从轨道  的A点由静止开始下滑.设水平轨道足够长,电场足够大,取g=10m/s2.求:
(1)小物块到达B点时速度的大小.
(2)小物块进入水平轨道BC后,受到电场力和支持力的大小各是多少?
(3)小物块进入水平轨道BC滑行,若经t=1.0s停下,则小物块与BC间的动摩擦因数为多少?

查看答案和解析>>

科目:高中物理 来源: 题型:

如图所示,匀强电场中有一位于竖直面内的正方形ABCD,其中AB和CD是电场中的两条等势线,A、D两点间的电势差为U0.质量为m、电荷量为+q的小球从A点由静止释放,一段时间后小球通过C点,下列说法正确的是(  )

查看答案和解析>>

同步练习册答案