精英家教网 > 高中物理 > 题目详情
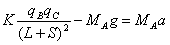
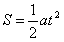
如图所示,均可视为质点的三个物体A、B、C穿在竖直固定的光滑绝缘细线上,A与B紧靠在一起,C紧贴着绝缘地板,质量分别为MA=2.32kg,MB=0.20kg,MC=2.00kg,其中A不带电,B、C的带电量分别为qB=+4.0×10-5c,qC=+7.0×10-5c,且电量都保持不变,开始时三个物体均静止。现给物体A施加一个竖直向上的力F,使它由静止开始向上作加速度a=4.0m/s2的匀加速直线运动,经时间t,F变为恒力。已知g=10m/s2,静电力恒量K=9×109Nm2/c2,求:
(1)三个物体均静止时BC间的距离L;
(2)时间t=?
解:(1)三个物体均静止时,对AB整体由平衡条件有
代入数据解得L=1.0m
(2)依题意知,AB一起以相同的加速度向上作匀加速直线运动时,F为变力;当AB分离后F变为恒力
经时间t,AB的位移
此时AB间弹力N=0
对A由牛顿第二定律有
代入数据解得t=1.0s
练习册系列答案
相关习题

科目:高中物理 来源: 题型:

[物理─选修3-5]
(1)日本福岛第一核电站在地震后,数秒内就将控制棒插入核反应堆芯,终止了铀的裂变链式反应.但海啸摧毁了机组的冷却系统,因裂变遗留的产物铯、钡等继续衰变不断释放能量,核燃料棒温度不断上升.则下列说法正确的是
AC
AC

A.控制棒通过吸收中子来实现对核反应的控制
B.衰变释放的射线中,α射线的穿透力最强
C.铯、钡等衰变时释放能量,故会发生质量亏损
D.核裂变遗留物铯、钡等原子的质量可能比铀原子质量更大
(2)如图所示,光滑水平面上放置质量均为M=2kg的甲、乙两辆小车,两车之间通过一感应开关相连(当滑块滑过感应开关时,两车自动分离).其中甲车上表面光滑,乙车上表面与滑块P之间的动摩擦因数μ=0.5.一根通过细线拴着而被压缩的轻质弹簧固定在甲车的左端,质量为m=l kg的滑块P(可视为质点)与弹簧的右端接触但不相连,弹簧原长小于甲车长度,整个系统处于静止.现剪断细线,已知滑块P刚滑上乙车时,滑块相对地面的速度为V1=4m/s,且滑块P最终没有滑离乙车.
求①滑块滑上乙车时乙车的速度大小
②滑块P在乙车上滑行的距离.

查看答案和解析>>

科目:高中物理 来源: 题型:

(2007?湖北模拟)如图所示,固定于同一条竖直线上的A、B是两个带等量异种电荷的点电荷,电荷量均为Q,其中A带正电荷,B带负电荷,D、C是它们连线的垂直平分线,A、B、C三点构成一边长为d的等边三角形,另有一个带电小球E,质量为m、电量为+q(可视为点电荷),被长为L的绝缘轻质细线悬挂于O点,O点在C点的正上方.现在把小球E拉到M点,使细线水平绷直且与A、B、C处于同一竖直面内,并由静止开始释放,小球E向下运动到最低点C时,速度为v.已知静电力常量为k,若取D点的电势为零,试求:
(1)在A、B所形成的电场中,M点的电势φM
(2)绝缘细线在C点所受到的拉力T.

查看答案和解析>>

科目:高中物理 来源: 题型:

如图所示,质量为M=1kg的平板小车上放置着ml=3kg,m2=2kg的物块,两物块与小车间的动摩擦因数为μ=0.5.两物块间夹有一压缩轻质弹簧,物块间有张紧的轻绳相连.小车右端有与m2相连的锁定开关,现已锁定.水平地面光滑,物块均可视为质点.现将轻绳烧断,若己知m1相对小车滑过0.6m时从车上脱落,此时小车以速度v0=2m/s向右运动,当小车第一次与墙壁碰撞瞬间锁定开关打开.设小车与墙壁碰撞前后速度大小不变,碰撞时间极短,小车足够长.(g=10m/s2)求:
(1)最初弹簧的弹性势能;
(2)m2相对平板小车滑行的总位移;
(3)小车第一次碰撞墙壁后非匀速运动所经历的总时间.

查看答案和解析>>

科目:高中物理 来源: 题型:

在长为2L的绝缘轻质细杆的两端各连接一个质量均为m的带电小球A和B(可视为质点,也不考虑二者间的相互作用力),A球带正电、电荷量为+2q,B球带负电.电荷量为-3q.现把A和B组成的带电系统锁定在光滑绝缘的水平面上,并让A处于如图所示的有界匀强电场区域MPQN内.已知虚线MP是细杆的中垂线,MP和NQ的距离为4L,匀强电场的场强大小为E,方向水平向右.现取消对A、B的锁定,让它们从静止开始运动.(忽略小球运动中所产生的磁场造成的影响)
(1)求小球A、B运动过程中的最大速度;
(2)小球A、B能否回到原出发点?若不能,请说明理由;若能,请求出经过多长时间带电系统又回到原地发点.
(3)求运动过程中带电小球B电势能增加的最大值.

查看答案和解析>>

科目:高中物理 来源: 题型:

[物理-选修3-5]
(1)北京时间20l1年3月11日在日本海域发生强烈地震,强震引发了福岛核电站危机.下列关于核裂变和核辐射的方程中书写正确的是
C
C

A.92235U+01n→56141Ba+3692Kr+1001n    B.94235Pu→92235U+24He  C.55137 Cs→56137Ba+-10e    D.55121I→54131Ce+-10e
(2)如图所示,光滑水平面上放置质量均为M=2kg的甲、乙两辆小车 两车之间通过一感应开关相连(当滑块滑过感应开关时,两车自动分离).其中甲车上表面光滑,乙车上表面与滑块P之间的动摩擦因数μ=0.5.一根通过细线拴着而被压缩的轻质弹簧固定在甲 车的左端,质量为m=l kg的滑块P(可视为质点)与弹簧的右端接触但不相连,弹簧原长小于甲车长度,整个系统处于静止.现剪断细线,已知滑块P刚滑上乙车时,滑块相对地面的速度为ν1=4m/s,且滑块P最终滑有滑离乙车,求滑块P在乙车上滑行的距离.

查看答案和解析>>

同步练习册答案