精英家教网 > 高中物理 > 题目详情
宇航员在月球表面完成下面实验:在一固定的竖直光滑圆形轨道内部的最低点,静止一质量为m的小球(可视为质点),如图所示,当给小球水平初速度v0时,刚好能使小球在竖直面内做完整的圆周运动。已知圆弧轨道半径为r,月球的半径为R。若在月球表面上发射一颗环月卫星,所需最小发射速度为多大?
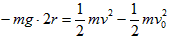
解:设月球表面重力加速度为g,月球质量为M。球刚好完成圆周运动,则小球在最高点有
从最低点至最高点由动能定理得
由①②可得
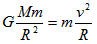
在月球表面
在月球表面发射卫星的最小速度为月球第一宇宙速度
练习册系列答案
相关习题

科目:高中物理 来源: 题型:

(2007?湖南模拟)宇航员在月球表面完成下面实验:在一固定的竖直光滑圆弧轨道内部最低点静止一质量为m的小球(可视为质点)如图所示,当施加给小球一瞬间水平冲量I时,刚好能使小球在竖直面内做完整的圆周运动.已知圆弧轨道半径为r,月球的半径为R,万有引力常量为G.
(1)若在月球表面上发射一颗环月卫星,所需最小发射速度为多大?
(2)轨道半径为2R的环月卫星周期为多大?

查看答案和解析>>

科目:高中物理 来源: 题型:

宇航员在月球表面完成下面的实验:在一固定的竖直光滑圆轨道内部有一质量为m的小球(可视为质点),如图所示.当在最高点给小球一瞬间的速度v时,刚好能使小球在竖直平面内做完整的圆周运动,已知圆弧的轨道半径为r,月球的半径为R,引力常量为G.求:
(1)若在月球表面上发射一颗环月卫星,所需最小发射速度为多大?
(2)月球的平均密度为多大?
(3)轨道半径为2R的环月卫星周期为多大?

查看答案和解析>>

科目:高中物理 来源: 题型:

宇航员在月球表面完成下面的实验:在一固定的竖直光滑圆轨道内部最低点静止一个质量为m的小球(可视为质点),如图所示,当施给小球一瞬间速度v时,刚好能使小球在竖直平面内做完全的圆周运动,已知圆弧轨道半径为r,月球的半径为R,万有引力常量为G.求:
(1)若在月球表面上发射一颗环月卫星,所需最小发射速度为多大?
(2)轨道半径为2R的环月卫星周期为多大?

查看答案和解析>>

科目:高中物理 来源: 题型:

航天宇航员在月球表面完成了如下实验:如图所示,在月球表面固定一竖直光滑圆形轨道,在轨道内的最低点,放一可视为质点的小球,当给小球水平初速度v0时,小球刚好能在竖直面内做完整的圆周运动.已知圆形轨道半径为r,月球的半径为R.若在月球表面上发射一颗环月卫星,求最小发射速度.

查看答案和解析>>

科目:高中物理 来源: 题型:

宇航员在月球表面完成下面实验:在一固定的竖直光滑圆形轨道内部的最低点,静止一质量为m的小球(可视为质点),如图所示,当给小球水平初速度v0时,刚好能使小球在竖直面内做完整的圆周运动.已知圆弧轨道半径为r,月球的半径为R.若在月球表面上发射一颗环月卫星,所需最小发射速度为多大?

查看答案和解析>>

同步练习册答案