精英家教网 > 高中物理 > 题目详情

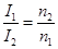
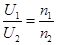
如图所示理想变压器原副线圈匝数比为1:2,两端分别接有四个阻值相同的灯泡,已知4盏灯均能发光,则L1和L2的功率之比为(   )

A.1:1        B.1:3

C.9:1        D.3:1

 

【答案】

C

【解析】

试题分析:设原线圈电压为,副线圈电压为,由于,可知,而串联,因此分得的电压均为,而与原线圈并联,分得的电压也为,因此流过的电流与的电流相同均为I,而流过L1的电流为原线圈电流与L2电流之和,根据可知,流过原线圈的电流,这样流过L1的电流为3I,根据可知,C正确。

考点:变压器

 

练习册系列答案
相关习题

科目:高中物理 来源: 题型:

如图所示理想变压器原副线圈匝数比为1:2,两端分别接有四个阻值相同的灯泡,已知4盏灯均能正常发光,则L1和L2的功率之比为(  )

查看答案和解析>>

科目:高中物理 来源: 题型:

精英家教网如图所示理想变压器原、副线圈匝数之比为n1:n2=4:1,有一电阻线ab长l1=12cm,电阻丝每厘米长电阻值为r=0.1Ω,搁置在长直金属导轨上,与导轨间接触良好,导轨间的距离l2=10cm,ab棒所在区域充满磁感应强度为B=0.5T的匀强磁场,现在ab以ν=10m/s的速度向左匀速切割磁感线运动,则两电流表的读数分别为(  )

查看答案和解析>>

科目:高中物理 来源: 题型:

如图所示,理想变压器原、副线圈的匝数比为10∶1,b是原线圈的中心抽头,电压表V和电流表A均为理想交流电表,从某时刻开始在原线圈c、d两端加上交变电压,其瞬时值表达式为u1=220sin100πt(V),则

A.当单刀双掷开关与a连接时,电压表的示数为22 V

B.当t= s时,c、d间的电压瞬时值为110 V

C.单刀双掷开关与a连接,在滑动变阻器触头P向上移动的过程中,电压表和电流表的示数均变小

D.当单刀双掷开关由a扳向b时,电压表和电流表的示数均变小

查看答案和解析>>

科目:高中物理 来源: 题型:

(10分).如图所示理想变压器原、副线圈的匝数比为N1:N2=2:1,原线圈接200 V交流电源,副线圈接额定功率为 25 W的灯泡 L,灯泡正常发光.当电源电压降为160 V时,求:

(1)灯泡实际消耗的功率?

(2)此时灯泡中的电流是多少?

 

 

 

 

 

查看答案和解析>>

科目:高中物理 来源:2013届黑龙江省大庆市第三十五中学高三上学期期末考试物理试卷(带解析) 题型:单选题

如图所示理想变压器原副线圈匝数比为1:2,两端分别接有四个阻值相同的灯泡,已知4盏灯均能发光,则L1和L2的功率之比为(   )

A.1:1B.1:3
C.9:1D.3:1

查看答案和解析>>

同步练习册答案