精英家教网 > 高中物理 > 题目详情
如图所示,一水平轨道左端与一倾斜轨道平滑连接,右端与一半径为R的竖直面内的圆轨道连接,小球B静止在水平轨道上,小球A从倾斜轨道上某高度处由静止开始下滑,与B发生无能量损失的弹性正碰,不计一切摩擦,已知A、B的质量分别为mA=m,mB=3m,若碰后小球B恰好能通过圆轨道的最高点,求释放小球A的初始位置距离水平轨道的高度h。

解:B小球恰好通过最高点时,
B小球从最低点运动到最高点机械能守恒,
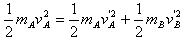
两小球碰撞过程动量守恒,机械能守恒


A小球从h高处向下运动机械能守恒,
联立以上各式得h=10R
练习册系列答案
相关习题

科目:高中物理 来源: 题型:

(选做C)如图所示,一水平轨道与一竖直半圆轨道相接,半圆轨道半径为R=1.6m,小球沿水平轨道进入半圆轨道,恰能从半圆轨道顶端水平射出.求:
(1)小球射出后在水平轨道上的落点与出射点的水平距离.
(2)小球落到水平轨道上时的速度大小.(g取得10m/s2

查看答案和解析>>

科目:高中物理 来源:云南省昆明八中2012届高三上学期期中考试物理试题 题型:038

如图所示,一水平轨道左端与一倾斜轨道平滑连接,右端与一半径为R的竖直面内的圆轨道连接,小球B静止在水平轨道上,小球A从倾斜轨道上某高度处由静止开始下滑,与B发生无能量损失的弹性正碰,不计一切摩擦,已知A、B的质量分别为mAmmB=3m,若碰后小球B恰好能通过圆轨道的最高点,求释放小球A 的初始位置距离水平轨道的高度h

查看答案和解析>>

科目:高中物理 来源:不详 题型:问答题

(选做C)如图所示,一水平轨道与一竖直半圆轨道相接,半圆轨道半径为R=1.6m,小球沿水平轨道进入半圆轨道,恰能从半圆轨道顶端水平射出.求:
(1)小球射出后在水平轨道上的落点与出射点的水平距离.
(2)小球落到水平轨道上时的速度大小.(g取得10m/s2
精英家教网

查看答案和解析>>

科目:高中物理 来源:2011-2012学年四川省成都市双流县棠湖中学高一(下)期中物理试卷(解析版) 题型:解答题

(选做C)如图所示,一水平轨道与一竖直半圆轨道相接,半圆轨道半径为R=1.6m,小球沿水平轨道进入半圆轨道,恰能从半圆轨道顶端水平射出.求:
(1)小球射出后在水平轨道上的落点与出射点的水平距离.
(2)小球落到水平轨道上时的速度大小.(g取得10m/s2

查看答案和解析>>

同步练习册答案