精英家教网 > 高中物理 > 题目详情

在某市区内,一辆小汽车在平直公路上以速度vA向东匀速行驶,一位观光游客正由南向北从斑马线上横过马路,汽车司机发现前方有危险(游客正在D处向北走),经0.7s作出反应,从A点开始紧急刹车,但仍将正步行至B处的游客撞伤,该汽车最终在C处停下。为了清晰了解事故现场,现以下图示之:为了判断汽车司机是否超速行驶,并测出肇事汽车速度vA,警方派一车胎磨损情况与肇事车相当的车以法定最高速度vm= 14 m/s行驶在同一马路的同一地段,在肇事汽车的出事点B急刹车,恰好也在C点停下来。在事故现场测得AB=17.5 m、BC=14.0 m、BD=2.6 m,问:
(1)该肇事汽车的初速度vA是多大?
(2)游客横过马路的速度是多大?


解:(1)以警车为研究对象,则:

将v0=14.0m/s, s=14.0 m,v=0代入,得警车刹车加速度大小为:a=7. 0 m/s2,

因为警车行驶条件与肇事汽车相同,则肇事汽车的加速度

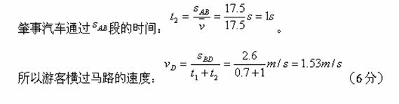
所以肇事汽车的初速度。(6分)

(2) 肇事汽车在出事点B的速度:

肇事汽车通过段的平均


练习册系列答案
相关习题

科目:高中物理 来源: 题型:


通常一次闪电过程历时约0.2~0.3 s,它由若干个相继发生的闪击构成.每个闪击持续时间仅40~80 μs,电荷转移主要发生在第一个闪击过程中.在某一次闪电前云地之间的电势差约为1.0×109 V,云地间距离约为1 km;第一个闪击过程中云地间转移的电荷量约为6 C,闪击持续时间约为60 μs.假定闪电前云地间的电场是均匀的.根据以上数据,下列判断正确的是(  )

A.闪电电流的瞬时值可达到1×105 A

B.整个闪电过程的平均功率约为1×1014 W

C.闪电前云地间的电场强度约为1×106 V/m

D.整个闪电过程向外释放的能量约为6×106 J

查看答案和解析>>

科目:高中物理 来源: 题型:


在测定某新型电池的电动势和内阻的实验中,所提供的器材有:

待测电池(电动势约6 V)

电流表G(量程6.0 mA,内阻r1=100 Ω),

电流表A(量程0.6 A,内阻r2=5.0 Ω),

定值电阻R1=100 Ω,定值电阻R2=900 Ω,

滑动变阻器R'(0~50 Ω),开关、导线若干.

(1)为了精确测出该电池的电动势和内阻,采用图(甲)所示实验电路图,其中定值电阻应选用    (选填“R1”或“R2”). 

(2)请根据电路图(甲)完成图(乙)中的实物连线.

(3)某同学在实验中测出电流表A和电流表G的示数IA和Ig.根据记录数据作出Ig  IA图像如图(丙)所示(图像的纵截距用b表示,斜率用k表示),根据图像可求得,被测电池电动势的表达式E=     , 其值为    V;内阻的表达式r=    ,其值为    Ω. 

查看答案和解析>>

科目:高中物理 来源: 题型:


在平直轨道上匀加速向右行驶的封闭车厢中,悬挂着一个带有滴管的盛油容器,如图所示.当滴管依次滴下三滴油时(设三滴油都落在车厢底板上),下列说法中正确的是[     ]

A.这三滴油依次落在OA之间,且后一滴比前一滴离O点远

B.这三滴油依次落在OA之间,且后一滴比前一滴离O点近

C.这三滴油依次落在O点上

D.这三滴油依次落在OA间同一位置上

查看答案和解析>>

科目:高中物理 来源: 题型:


某放射性元素质量为M,测得每分钟放出1.2×104个β粒子,21天后再测,发现每分钟放出1.5×103个β粒子,该放射性元素的半衰期为___天。

查看答案和解析>>

科目:高中物理 来源: 题型:


如图3所示,汽车以受到v通过一弧形的拱桥顶端时,关于汽车受力的说法中正确(   )

A.汽车的向心力就是它所受的重力

B.汽车的向心力是它所受的重力与支持力的合力,方向指向圆心

C.汽车受重力、支持力、牵引力、摩擦力和向心力的作用

D.以上说法均不正确

查看答案和解析>>

科目:高中物理 来源: 题型:


某游客领着孩子游泰山时,孩子不小心将手中的皮球滑落,球从A点滚到了山脚下的B点,高度标记如图6所示,则下列说法正确的是(  ).

A.从AB的曲线轨迹长度不知道,无法求出此过程中重力做的功

B.从AB过程中阻力大小不知道,无法求出此过程中重力做的功

C.从AB重力做功mg(Hh)

D.从AB重力做功mgH

查看答案和解析>>

科目:高中物理 来源: 题型:


某交流发电机工作时的电动势为e=Emsinωt,如果将其电枢的转速提高一倍,同时将电枢所围面积减小一半,其它条件不变,则其电动势变为(   )

A.e=Emsinωt             B.e=4Emsin2ωt   

C.e=Emsin2ωt            D.e=4Emsinωt

 

查看答案和解析>>

科目:高中物理 来源: 题型:


粗细均匀的直导线ab的两端悬挂在两根相同的弹簧下边,ab恰好处在水平位置,如图所示.已知ab的质量为m=10 g,长度L=60 cm,沿水平方向与ab垂直的匀强磁场的磁感应强度B=0.4 T.

(1)要使两根弹簧能处在自然状态,既不被拉长,也不被压缩,ab中应沿什么方向、通过多大的电流?

(2)当导线中有方向从a到b、大小为0.2 A的电流通过时,两根弹簧均被拉长了Δx=1 mm,求该弹簧的劲度系数.

(3)当导线中由b到a方向通过0.2 A的电流时两根弹簧均被拉长多少?已知此时未超出弹簧的弹性限度.(取g=9.6 m/s2=9.6 N/kg)

查看答案和解析>>

同步练习册答案