精英家教网 > 高中物理 > 题目详情
某同学将广口瓶开口向上放入77℃热水杯中,待热平衡后,用一个剥去蛋壳的熟鸡蛋(最粗处横截面略大于瓶口横截面)恰好封住瓶口,如图所示。当热水杯中水温缓慢降至42℃时,观察到鸡蛋缓慢落入瓶中。已知大气压强p0=1.0×105Pa,瓶口面积S=1.0×10-3m2,熟鸡蛋质量G=0.50N。求:
(1)温度为42℃时广口瓶内的压强变为多大?
(2)当熟鸡蛋缓慢落入瓶中时与瓶口间的阻力多大?

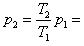
解:(1)广口瓶内的空气状态为:

根据查理定律
×1.0×105Pa=0.9×105 Pa
(2)当熟鸡蛋缓慢时,根据力的平衡,有
G+p0S =p2S+f
即f=G+(p0-p2)S=[0.50+(1.0×105-0.9×105)×1.0×10-3]N=10.5N
练习册系列答案
相关习题

科目:高中物理 来源: 题型:

(1)如图所示,一汽缸竖直放置,用一质量为m的活塞在缸内封闭了一定量的理想气体,在气缸的底部安装有一根电热丝,用导线和外界电源相连,已知气缸壁和活塞都是绝热的,气缸壁与活塞间接触光滑且不漏气,现接通电源,电热丝对缸内气体缓慢加热.关于气缸内气体,下列说法正确的是
A.单位时间内气缸单位面积上气体分子撞击次数减少
B.所有分子的速率都增加
C.分子平均动能增大
D.对外做功,内能减少
(2)某同学将广口瓶开口向上放入77℃热水杯中,待热平衡后,用一个剥去蛋壳的熟鸡蛋(最粗处横截面略大于瓶口横截面)恰好封住瓶口,如图所示.当热水杯中水温缓慢降至42℃时,观察到鸡蛋缓慢落入瓶中.已知大气压强p0=1.0×105Pa,瓶口面积S=1.0×10-3m2,熟鸡蛋质量G=0.50N.求:
①温度为42℃时广口瓶内的压强变为多大?
②当熟鸡蛋缓慢落入瓶中时与瓶口间的阻力多大?

查看答案和解析>>

科目:高中物理 来源: 题型:

精英家教网某同学将广口瓶开口向上放入77℃热水杯中,待热平衡后,用一个剥去蛋壳的熟鸡蛋(最粗处横截面略大于瓶口横截面)恰好封住瓶口,如图所示.当热水杯中水温缓慢降至42℃时,观察到鸡蛋缓慢落入瓶中.已知大气压强p0=1.0×105Pa,瓶口面积S=1.0×10-3m2,熟鸡蛋质量G=0.50N.求:
(1)温度为42℃时广口瓶内的压强变为多大?
(2)当熟鸡蛋缓慢落入瓶中时与瓶口间的阻力多大?

查看答案和解析>>

科目:高中物理 来源:2013-2014湖北省孝感市高三第二次统一考试理科综合能力试卷(解析版) 题型:选择题

(9分)某同学将广口瓶开口向上放入77热水杯中,待热平衡后,用一个剥去蛋壳的熟鸡蛋(最粗处横截面略大于瓶口横截面)恰好封住瓶口,如图所示.当热水杯中水温缓慢降至42时,观察到鸡蛋缓慢落入瓶中.已知大气压强Pa,瓶口面积S=,熟鸡蛋重力G=0.50N.求:

温度为42时广口瓶内的压强变为多大?

当熟鸡蛋缓慢落入瓶中时鸡蛋与瓶口间的阻力为多大?

 

 

查看答案和解析>>

科目:高中物理 来源: 题型:

某同学将广口瓶开口向上放入77℃热水槽中,待热平衡后,用一个剥去蛋    壳的熟鸡蛋(最粗处横截面略大于瓶口横截面,鸡蛋体积远小于广口瓶容积)恰好封住瓶口,如图所示。当热水槽中水温降低时,鸡蛋缓慢下落,水温降至42℃时,观察到鸡蛋即将落入瓶中。已知大气压强P0=1.0×105Pa,瓶口面积S=1.0×10-3m2,熟鸡蛋重力为G=0.50N。求:

①温度为42℃时广口瓶内的气体压强;

②当熟鸡蛋即将落入瓶中时受到瓶口的阻力。

查看答案和解析>>

科目:高中物理 来源:2011年吉林省白城实验中学高考物理三模试卷(解析版) 题型:解答题

(1)如图所示,一汽缸竖直放置,用一质量为m的活塞在缸内封闭了一定量的理想气体,在气缸的底部安装有一根电热丝,用导线和外界电源相连,已知气缸壁和活塞都是绝热的,气缸壁与活塞间接触光滑且不漏气,现接通电源,电热丝对缸内气体缓慢加热.关于气缸内气体,下列说法正确的是
A.单位时间内气缸单位面积上气体分子撞击次数减少
B.所有分子的速率都增加
C.分子平均动能增大
D.对外做功,内能减少
(2)某同学将广口瓶开口向上放入77℃热水杯中,待热平衡后,用一个剥去蛋壳的熟鸡蛋(最粗处横截面略大于瓶口横截面)恰好封住瓶口,如图所示.当热水杯中水温缓慢降至42℃时,观察到鸡蛋缓慢落入瓶中.已知大气压强p=1.0×105Pa,瓶口面积S=1.0×10-3m2,熟鸡蛋质量G=0.50N.求:
①温度为42℃时广口瓶内的压强变为多大?
②当熟鸡蛋缓慢落入瓶中时与瓶口间的阻力多大?


查看答案和解析>>

同步练习册答案