精英家教网 > 高中物理 > 题目详情

如图所示,矩形线圈匝数为n,电阻为r,面积为S,在磁感应强度为B的匀强磁场中绕轴以角速度ω匀速转动,外电路电阻为R,在线圈由图示位置转过180°的过程中,求:

(1)平均感应电动势;

(2)电阻R上产生的热量;

(3)从图示位置到线圈转过90°的过程中通过导线截面的电荷量.

答案:略
解析:

答案:(1)E=0

(2)

(3)

解析 (1)

∴ΔΦ=0,故

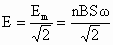
(2)线圈产生感应电动势最大值

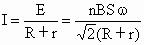
有效值

电流有效值

R上产生的热量

(3)平均感应电动势

所以

点评 本题综合了三种不同的规律,解答时应注意以下几点:

1.求平均感应电动势要用

2.求电功或电热要用有效值;

3.求电荷量要用平均电流.


练习册系列答案
相关习题

科目:高中物理 来源: 题型:

如图所示,矩形线圈abcd的匝数为N=50匝,线圈ab的边长为l1=0.2m,bc的边长为l2=0.25m,在磁感应强度为B=0.4T的匀强磁场中,绕垂直于磁感线且通过线圈中线的OO′轴匀速转动,转动的角速度ω=100
2
rad/s,若线圈自身电阻为r=1Ω,负载电阻R=9Ω.试求:
(1)穿过线圈平面的最大磁通量Φm
(2)线圈在图示位置(线圈平面与磁感线平行)时,感应电动势e的大小;
(3)1min时间内电阻R上产生的焦耳热Q的大小.

查看答案和解析>>

科目:高中物理 来源: 题型:

如图所示,矩形线圈abcd在磁感强度B=2T的匀强磁场中绕轴OO′,以角速度ω=10πrad/s匀速转动,线圈共10匝,ab=0.3m,bc=0.6m,负载电阻R=45Ω.求:
(l)电阻R在0.05s内所发出的热量;
(2)0.05s内流过的电量(设线圈从垂直中性面开始转动)

查看答案和解析>>

科目:高中物理 来源:2009高考一轮复习高考物理板块复习 题型:022

磁感应强度为B的匀强磁场中有一交流发电装置,如图所示,矩形线圈匝数为n,电阻为r,边长分别为l1l2,绕转轴匀速旋转的角速度为ω,外接电阻为R,电压表为理想电压表,则从线圈平面与磁场方向平行开始计时,交变电流的瞬时值i=________,转过90°的过程中R上产生的电热Q=________.

查看答案和解析>>

科目:高中物理 来源: 题型:

(4分)磁感应强度为B的匀强磁场中有一交流发电装置,如图所示,矩形线圈匝数为n,电阻为r,边长分别为l1l2,绕转轴匀速旋转的角速度为,外接电阻为R,电压表为理想电压表,则从线圈平面与磁场方向平行开始计时,交变电流的瞬时值i=         ,转过900的过程中R上产生的电热Q=             .

查看答案和解析>>

同步练习册答案