精英家教网 > 高中物理 > 题目详情
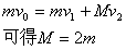
如图所示,平板小车A放置于光滑水平面上,小滑块B以初速度v0=8m/s滑上平板小车左端,当B从小车右端滑出时,小车A的速度为1m/s,滑块B滑出小车时的速度为6m/s,小车上表面与B之间的滑动摩擦因数μ=0.8,B可视为质点。(g取10m/s2)求
(1)求A与B的质量之比及平板小车的表面长度;
(2)当B以6m/s初速度滑上A,B能否从小车上滑出,若能滑出,A、B的速度分别为多少?若不能滑出,二者的末速度为多少?B停在A上距左端距离为多少?
解:(1)小车和滑块组成的系统,动量守恒有

系统动能损失

(2)当物体以6m/s滑上小车时,设在上滑S后共速则由动量守恒定律、能量守恒定律得

滑块不能滑出小车,相对小车上滑行1.5m后和小车共速,末速度为
练习册系列答案
相关习题

科目:高中物理 来源: 题型:

[物理选修3-5]
(1)目前,在居室装修中经常用到花岗岩、大理石等装修材料,这些岩石都不同程度地含有放射性元素,比如,有些含有铀、钍的花岗岩等岩石会释放出放射性惰性气体氡,而氡会发生放射性衰变,放出α、β、γ射线,这些射线会导致细胞发生癌变及呼吸道等方面的疾病,根据有关放射性知识可知,下列说法正确的是
B
B

A.氡的半衰期为3.8天,若取4个氡原子核,经7.6天后就一定剩下一个原子核了
B.β衰变所释放的电子是原子核内的中子转化成质子和电子所产生的
C.γ射线一般伴随着α或β射线产生,在这三种射线中,γ射线的穿透能力最强,电离能力也最强
D.发生α衰变时,生成核与原来的原子核相比,中子数减少了4
(2)如图所示,平板小车C静止在光滑的水平面上.现在A、B两个小物体(可视为质点),分别从小车C的两端同时水平地滑上小车.初速度VA=1.2m/s,VB=0.6m/s,A、B与C间的动摩擦因数都是μ=0.1.A、B、C的质量都相同.最后A、B恰好相遇而未碰撞.g取10m/s2.求:
(1)ABC共同运动的速度; 
(2)定性描述从AB滑上小车以后ABC三个物体相对地面运动的情况.

查看答案和解析>>

科目:高中物理 来源: 题型:

如图所示,平板小车沿水平地面始终以加速度a做匀加速直线运动.当小车速度增至v时,将一小物块无初速地放于平板小车的A端(小车的加速度保持不变).物块与小车间的动摩擦因数为μ,(μg>a),要使物块不会从小车上滑出,求平板小车的最小长度L0

查看答案和解析>>

科目:高中物理 来源: 题型:

精英家教网如图所示,平板小车C静止在光滑的水平面上.现有A、B两个小物体(可视为质点),分别从小车C的两端同时水平地滑上小车.初速度vA=0.6m/s,vB=0.3m/s,A、B与C间的动摩擦因数都是μ=0.1.A、B、C的质量都相同.最后A、B恰好相遇而未碰撞.且A、B、C以共同的速度运动.g取10m/s2.求:
(1)A、B、C共同运动的速度.
(2)B物体相对于地向左运动的最大位移.
(3)小车的长度.

查看答案和解析>>

科目:高中物理 来源: 题型:

如图所示,平板小车A放置于光滑水平面上,小滑块B以初速度v0=8m/s滑上平板小车左端,当B从小车右端滑出时,小车A的速度为1m/s,滑块B滑出小车时的速度为6m/s,小车上表面与B之间的滑动摩擦因数μ=0.8,B可视为质点。(g取10m/s2)求

(1)求A与B的质量之比及平板小车的表面长度

(2)当B以6m/s初速度滑上A,B能否从小车上滑出,若能滑出,A、B的速度分别为多少?若不能滑出,二者的末速度为多少?B停在A上距左端距离为多少?

查看答案和解析>>

同步练习册答案