精英家教网 > 高中物理 > 题目详情
用30cm的细线将质量为4×10-3kg的带电小球P悬挂在O点下,当空中有方向为水平向右,大小为1×104N/C的匀强电场时,小球偏转37°后处在静止状态。
(1)分析小球的带电性质;
(2)求小球的带电量;
(3)求细线的拉力。
解:(1)小球受力如图,故带正电

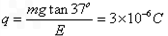
(2)小球受力平衡,在水平方向:  
,得
(3)如受力图可知
F=0.05N
练习册系列答案
相关习题

科目:高中物理 来源: 题型:

用30cm的细线将质量为4×10-3㎏的带电小球P悬挂在O点下,当空中有方向为水平向右,大小为1×104N/C的匀强电场时,小球偏转37°后处于静止状态.(sin37°=0.6,cos37°=0.8)
①分析小球的带电性质(是正电荷还是负电荷?).
②求小球的带电量和求细线的拉力.

查看答案和解析>>

科目:高中物理 来源: 题型:

(必做题)用30cm的细线将质量为4×10-3㎏的带电小球P悬挂在O点,当空中存在水平向右,大小为1×104N/C的匀强电场时,小球偏转37°后处于静止状态.(sin37°=0.6,cos37°=0.8,g=10m/s2
(1)分析小球的带电性质及带电量;
(2)求细线的拉力.

查看答案和解析>>

科目:高中物理 来源: 题型:

如图所示,用30cm的细线将质量为4×10-5 kg的带电小球P悬挂在O点下,当空中有方向为水平向右,大小为1×104N/C的匀强电场时,小球偏转37°后处在静止状态.已知sin37°=0.6,cos37°=0.8.
(1)分析小球的带电性质
(2)求小球的带电量
(3)求此时细线的拉力.

查看答案和解析>>

科目:高中物理 来源: 题型:

用30cm的细线将质量为4×10-3㎏的带电小球P悬挂在O点下,当空中有方向为水平向右,大小为1×104N/C的匀强电场时,小球偏转37°后处于静止状态.则:小球带的电量q=
3×10-6
3×10-6
C;细线的拉力F=
5×10-2
5×10-2
N.

查看答案和解析>>

科目:高中物理 来源: 题型:

精英家教网用30cm的细线将质量为8×10-3kg的带电小球P悬挂在O点下,当空中有方向为水平向右,大小为1×104N/C的匀强电场时,小球偏转37°后处在静止状态.
(1)分析小球的带电性质;
(2)求小球的带电量;
(3)求细线的拉力.

查看答案和解析>>

同步练习册答案