精英家教网 > 高中物理 > 题目详情
如图所示,光滑的水平面连接一个竖直平面内的半圆形光滑轨道,其半径为0.50 m。小物体A(质量为m)以v=15 m/s的速度与物体B(质量为M)发生正碰后,以v1=5.0 m/s的速度沿原路返回,求:要使物体B碰撞后恰能沿半圆形轨道运动到最高点,两物体质量之比m/M是多少?(g取10 m/s2
解:要使B恰好运动到最高点,需满足 ①
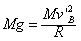
对B:由机械能守恒定律,得 ②
由①②得:vB=5 m/s
对A、B由动量守恒定律得:mv=MvB-mv1
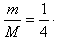
所以
练习册系列答案
相关习题

科目:高中物理 来源: 题型:

(2011?河北模拟)如图所示,光滑的水平地面上有一木板,其左端放有一重物,右方有一竖直的墙.重物质量为木板质量的2倍,重物与木板间的动摩擦因数为μ.使木板与重物以共同的速度v0向右运动,某时刻木板与墙发生弹性碰撞,碰撞时间极短.求木板从第一次与墙碰撞到再次碰撞所经历的时间.设木板足够长,重物始终在木板上.重力加速度为g.

查看答案和解析>>

科目:高中物理 来源: 题型:

如图所示,光滑的水平面上两个物体的质量分别为m和M(m≠M),第一次用水平推力F推木块M,两木块间的相互作用力为F1,第二次更换M、m的位置后仍用水平推力F推m,此时两木块间的相互作用力为F2,则F1与F2之比为(  )

查看答案和解析>>

科目:高中物理 来源: 题型:

(2010?济南模拟)如图所示,光滑的水平地面上有三块材料完全相同的木块A、B、C,质量均为m.中间用细绳l、2连接,现用一水平恒力F作用在C上,三者开始一起做匀加速运动,运动过程中把一块橡皮泥粘在某一木块上面,系统仍加速运动,则下列说法正确的是(  )

查看答案和解析>>

科目:高中物理 来源: 题型:

如图所示,光滑的水平地面上有一较薄的木板,其左端放有一重物,重物可看成质点.右方有一竖直的墙?重物质量为木板质量的2倍,重物与木板间的动摩擦因数为μ,重力加速度为g,使木板与重物以共同的速度v0向右运动,木板长度为L=
5
v
2
0
8μg
.设木板与墙、重物与墙、木板与重物之间的碰撞都是弹性碰撞,碰撞时间极短.由于木板较薄,不计重物竖直方向速度的变化.求:
(1)木板与墙能发生几次碰撞?
(2)木板最终的速度.

查看答案和解析>>

科目:高中物理 来源: 题型:

精英家教网如图所示.光滑的水平绝缘细杆上套有一圆形的光滑铜环处于静止状态.现在使条形磁铁沿铜环的轴线向左运动,在条形磁铁的N极向左运动至铜环所在竖直平面的过程中,下列说法正确的是(  )
A、铜环中感应电流为图中箭头方向,铜环向右运动B、铜环中感应电流与图中箭头方向相反,铜环向左运动C、铜环中感应电流与图中箭头方向相反,铜环向右运动D、铜环中感应电流为图中箭头方向,铜环向左运动

查看答案和解析>>

同步练习册答案