精英家教网 > 高中物理 > 题目详情
一枚在空中飞行的导弹,质量为m,在最高点的水平速度大小为v。导弹在该点突然炸裂成相等的两块,其中一块的速度为零,另一块的速度为2v沿速度v的方向飞出,不计空气阻力,爆炸的时间极短,试求:
(1)火药爆炸时对导弹所做功?
(2)已知导弹爆炸时离水平距离的高度为h,炸裂后的两块落到地面上时相距为多远?
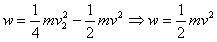
解:(1)爆炸过程中由动能定理,火药爆炸时做功为
     
(2)爆炸后第一块弹片做自由落体运动,由
      第二块弹片做平抛运动,其下落时间与第一块弹片相等,其水平位移为两块弹片落地时的水平距离
     
练习册系列答案
相关习题

科目:高中物理 来源: 题型:

一枚在空中飞行的导弹,质量为m,在最高点的水平速度大小为v.导弹在该点突然炸裂成相等的两块,其中一块的速度为零,另一块的速度为2v沿速度v的方向飞出,不计空气阻力,爆炸的时间极短,试求:
(1)火药爆炸时对导弹所做功?
(2)已知导弹爆炸时离水平距离的高度为h,炸裂后的两块落到地面上时相距为多远?

查看答案和解析>>

科目:高中物理 来源: 题型:

关于动量守恒,下列说法中正确的有(  )

查看答案和解析>>

科目:高中物理 来源: 题型:

一枚在空中飞行的导弹,质量为m,在最高点的水平速度大小为v。导弹在该点突然炸裂成相等的两块,其中一块的速度为零,另一块的速度为2v沿速度v的方向飞出,不计空气阻力,爆炸的时间极短,试求:

(1)火药爆炸时对导弹所做功?

(2)已知导弹爆炸时离水平距离的高度为h,炸裂后的两块落到地面上时相距为多远?

查看答案和解析>>

科目:高中物理 来源:2010年吉林省高一下学期期末考试物理试题 题型:计算题

一枚在空中飞行的导弹,质量为m,在最高点的水平速度大小为v。导弹在该点突然炸裂成相等的两块,其中一块的速度为零,另一块的速度为2v沿速度v的方向飞出,不计空气阻力,爆炸的时间极短,试求:

(1)火药爆炸时对导弹所做功?

(2)已知导弹爆炸时离水平距离的高度为h,炸裂后的两块落到地面上时相距为多远?

 

查看答案和解析>>

科目:高中物理 来源:2010年福建省宁德市高一下学期期末考试物理试题 题型:计算题

一枚在空中飞行的导弹,质量为m,在最高点的水平速度大小为v。导弹在该点突然炸裂成相等的两块,其中一块的速度为零,另一块的速度为2v沿速度v的方向飞出,不计空气阻力,爆炸的时间极短,试求:
(1)火药爆炸时对导弹所做功?
(2)已知导弹爆炸时离水平距离的高度为h,炸裂后的两块落到地面上时相距为多远?

查看答案和解析>>

同步练习册答案