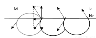
如图所示,电量为q=2×10-8C,质量为m=2×10-10kg的带正电的粒子从M 点以与MN方向成1200角出发,同时有一长为L的薄板从M点由静止开始做加速度为a=0.2m/s2的匀加速运动。薄板为半透板,当粒子从上向下和板相遇时,粒子会穿过薄板,不受影响。从下向上和薄板相遇会发生碰撞,粒子每次和薄板碰撞用时极短,电量不变,和薄板垂直速度大小不变,方向相反,和薄板平行速度不变。匀强磁场垂直纸面向里,大小B=
。MN的长度6m,粒子从M出发经过9s恰好到N。不计重 。求:
![]()
(1)粒子出发以后第一次和薄板相撞所需要的时间;
(2)粒子的速度;
(3)薄板的最小长度。
(1)5s (2)
(3)0.9m
【解析】
![]()
试题分析:(1)据题意,粒子的运动周期为:
![]()
粒子转动
所用时间为
,转动
所以时间为: ![]()
从上图可知,粒子从M点出发,运动了
周后没有遇到薄板,继续做圆周运动,完成一周后继续做了
周,刚好与薄板相碰,所以第一次与薄板相碰时间为:
![]()
(2)与薄板相碰后, 速度不变,竖直速度等大反向,则合速度向下,如图所示,经过
周运动到直线MN上,再次与薄板相碰,合速度变向,又经过
周粒子运动到N点。则每个圆周的弦长为:
![]()
据几何关系有:
![]()
计算得:![]()
据粒子运动半径关系有:
![]()
计算得粒子速度为:![]()
(3)粒子运动5s第一次与薄板相碰时有:
![]()
板长为:![]()
粒子在7s时再次与薄板相碰,此时板长为:
![]()
板长为:![]()
故要使粒子两次雨薄板相碰,最小长度为0.9m。
考点:本题考查带电粒子在匀强磁场中的运动,匀变速运动关系。
科目:高中物理 来源:2013-2014安徽省高二下学期期中考试物理试卷(解析版) 题型:选择题
如图(a)所示,在光滑水平面上用恒力F拉质量为m的单匝均匀正方形铜线框,线框边长为a,在1位置以速度v0进入磁感应强度为B的匀强磁场并开始计时,若磁场的宽度为b(b>3a),在3t0时刻线框到达2位置,速度又为v0,并开始离开匀强磁场. 此过程中v-t图像如图(b)所示,则( )
![]()
A. t=0时,线框右侧边MN的两端电压为Bav0
B. 在t0时刻线框的速度为v0-
C. 线框完全离开磁场的瞬间位置3的速度一定比t0时刻线框的速度大
D. 线框从1位置进入磁场到完全离开磁场位置3过程中线框中产生的电热为2Fb
查看答案和解析>>
科目:高中物理 来源:2013-2014学年黑龙江省佳木斯市高三下学期模拟考试物理试卷(解析版) 题型:选择题
我国“蛟龙号”在某次试验时,深潜器内显示屏上显示出了从水面开始下潜到最后返回水面的10min内全过程的深度随时间变化图像(a)和速度随时间变化图像(b),则正确的有( )
![]()
A.(a)图中h3代表本次下潜最大深度为360m
B.全过程中最大加速度是0.025m/s2
C.潜水员感到失重体验发生在0-1min和8-10min内
D.整个潜水器在8-10min时间段内机械能守恒
查看答案和解析>>
科目:高中物理 来源:2013-2014学年青海省片区高三下学期5月大联考物理试卷(解析版) 题型:选择题
如图所示,x轴沿水平方向,y轴沿竖直方向,OM是与x轴成θ角的一条射线.现从坐标原点O以速度v0水平抛出一个小球,小球与射线OM交与P点,此时小球的速度v与OM的夹角为α,若保持方向不变而将小球初速度增大为2v0,小球与射线OM交与P',此时小球的速度v与OM的夹角为α',则( )
![]()
A.小球从O运动到P'的时间是从O到P时间的2倍
B.夹角α'是α的2倍
C.小球通过P'点的速度为4v
D.OP'=4OP
查看答案和解析>>
科目:高中物理 来源:2013-2014学年青海省片区高三下学期5月大联考物理试卷(解析版) 题型:选择题
2012年度诺贝尔物理学奖授予了法国科学家塞尔日·阿罗什与美国科学家大卫·维因兰德,以表彰他们独立发明并发展测量和控制粒子个体、同时保持它们量子力学特性的方法。在物理学的发展过程中,许多物理学家的科学发现推动了人类历史的进步。下列表述符合物理学史实的是( )
A.开普勒认为只有在一定的条件下,弹簧的弹力才与弹簧的形变量成正比
B.库仑利用库仑扭秤巧妙地实现了他对电荷间相互作用力规律的研究
C.法拉第发现了电磁感应现象,这和他坚信电和磁之间一定存在着联系的哲学思想是分不开的
D.安培首先引入电场线和磁感线,极大地促进了他对电磁现象的研究
查看答案和解析>>
科目:高中物理 来源:2013-2014学年陕西省及其国际合作学校高三下四月月考理综物理试卷(解析版) 题型:选择题
如图所示完全相同的挡板MN和PQ在中间夹住相同物体A和B,挡板和物体间的动摩擦因素为μ1,物体间的动摩擦因素为μ2如果AB都处于静止状态有可能是( )
![]()
A.μ1=0,μ2=0 B.μ1=0,μ2≠0
C.μ1≠0,μ2=0 D.μ1≠0,μ2≠0
查看答案和解析>>
科目:高中物理 来源:2013-2014学年陕西师大附中高三第八次模拟考试物理试卷(解析版) 题型:计算题
如图所示,光滑水平面上放置质量均为M=2 kg的甲、乙两辆小车,两车之间通过一感应开关相连(当滑块滑过两车连接处时,感应开关使两车自动分离,分离时对两车及滑块的瞬时速度没有影响),甲车上表面光滑,乙车上表面与滑块P之间的动摩擦因数μ=0.5。一根轻质弹簧固定在甲车的左端,质量为m=l kg的滑块P(可视为质点)与弹簧的右端接触但不相连,用一根细线栓在甲车左端和滑块P之间使弹簧处于压缩状态,此时弹簧的弹性势能E0=10J,弹簧原长小于甲车长度,整个系统处于静止状态.现剪断细线,滑块P滑上乙车后最终未滑离乙车,g取10m/s2.求:
![]()
①滑块P滑上乙车前的瞬时速度的大小;
乙车的最短长度。
查看答案和解析>>
科目:高中物理 来源:2013-2014学年陕西师大附中高三第八次模拟考试物理试卷(解析版) 题型:选择题
下列说法不正确的是( )
A.“探究求合力的方法”实验中应用了等效替代的物理方法
B.汤姆生学生阿斯顿最早设计质谱仪是用来测量带电粒子的质量和分析同位素的
C.麦克斯韦预言电磁波的客观存在并由赫兹通过实验得以证实
D.万有引力定律和牛顿运动定律一样都是自然界普遍适用的基本规律
查看答案和解析>>
科目:高中物理 来源:2013-2014学年辽宁省瓦房店市高三考前模拟理科综合试卷(解析版) 题型:选择题
如图所示,在x轴上相距为L的两点固定两个等量异种点电荷+Q、-Q,虚线是以+Q所在点为圆心、
为半径的圆,a、b、c、d是圆上的四个点,其中a、c两点在x轴上,b、d两点关于x轴对称。下列判断正确的是
![]()
A.b、d两点处的电场强度不相同
B.b、d两点处的电势相同
C.四个点中c点处的电势最低
D.将一试探电荷-q沿圆周由a点移至c点,电势能减小
查看答案和解析>>
湖北省互联网违法和不良信息举报平台 | 网上有害信息举报专区 | 电信诈骗举报专区 | 涉历史虚无主义有害信息举报专区 | 涉企侵权举报专区
违法和不良信息举报电话:027-86699610 举报邮箱:58377363@163.com