精英家教网 > 高中物理 > 题目详情
特警队员从悬停在空中离地235米高的直升机上沿绳下滑进行降落训练,某特警队员和他携带的武器质量共为80kg,设特警队员用特制的手套轻握绳子时可获得200N的摩擦阻力,紧握绳子时可获得1000N的摩擦阻力,下滑过程中特警队员不能自由落体,至少轻握绳子才能确保安全.g取10m/s2.求:
(1)特警队员轻握绳子降落时的加速度是多大?
(2)如果要求特警队员着地时的速度不大于5m/s,则特警队员在空中下滑过程中按怎样的方式运动所需时间最少(用文字叙述或v-t图表示均可),最少时间为多少?
【答案】分析:(1)特警队员轻握绳子降落时,竖直方向受到重力和摩擦力,根据牛顿第二定律列式求解即可;
(2)特警队员先轻握绳子以最大加速度加速,再紧握绳子以最大加速度减速,到达地面时,速度等于5m/s,用时最短.
解答:解:(1)根据牛顿第二定律,有

即特警队员轻握绳子降落时的加速度是7.5m/s2
(2)先加速到一定速度后立即减速,到达地面时正好为5m/s速度,用时最短;

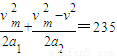
减速时加速度为

设最大速度为vm,根据运动学公式,有

解得
vm=30m/s
故总时间为

即最少时间为14s.
点评:本题关键先根据牛顿第二定律求解加速度,然后根据运动学公式结合几何关系列式求解即可.
练习册系列答案
相关习题

科目:高中物理 来源: 题型:

(2011?巢湖二模)特警队员从悬停在空中离地235米高的直升机上沿绳下滑进行降落训练,某特警队员和他携带的武器质量共为80kg,设特警队员用特制的手套轻握绳子时可获得200N的摩擦阻力,紧握绳子时可获得1000N的摩擦阻力,下滑过程中特警队员不能自由落体,至少轻握绳子才能确保安全.g取10m/s2.求:
(1)特警队员轻握绳子降落时的加速度是多大?
(2)如果要求特警队员着地时的速度不大于5m/s,则特警队员在空中下滑过程中按怎样的方式运动所需时间最少(用文字叙述或v-t图表示均可),最少时间为多少?

查看答案和解析>>

科目:高中物理 来源:2012-2013学年陕西西工大附中高三第四次适应性训练(期末)物理试卷(解析版) 题型:计算题

(14分)特警队员从悬停在空中离地235米高的直升机上沿绳下滑进行降落训练,某特警队员和他携带的武器质量共为80 kg,设特警队员用特制的手套轻握绳子时可获得200 N的摩擦阻力,紧握绳子时可获得1000 N的摩擦阻力,下滑过程中特警队员不能自由落体,至少轻握绳子才能确保安全。g取10m/s2. 求:

(1)特警队员轻握绳子降落时的加速度是多大?

(2)如果要求特警队员在空中下滑过程中先轻握绳子加速下降,再紧握绳子减速下降,且着地时的速度等于5m/s,则下落时间是多少?

 

查看答案和解析>>

科目:高中物理 来源:模拟题 题型:计算题

特警队员从悬停在空中离地235米高的直升机上沿绳下滑进行降落训练,某特警队员和他携带的武器质量共为80 kg,设特警队员用特制的手套轻握绳子时可获得200 N的摩擦阻力,紧握绳子时可获得1000 N的摩擦阻力,下滑过程中特警队员不能自由落体,至少轻握绳子才能确保安全。(g取10 m/s2)求:
(1)特警队员轻握绳子降落时的加速度是多大?
(2)如果要求特警队员在空中下滑过程中先轻握绳子加速下降,再紧握绳子减速下降,且着地时的速度等于5 m/s,则下落时间是多少?

查看答案和解析>>

科目:高中物理 来源:湖北省模拟题 题型:计算题

特警队员从悬停在空中离地235米高的直升机上沿绳下滑进行降落训练,某特警队员和他携带的武器质量共为80kg,设特警队员用特制的手套轻握绳子时可获得200N的摩擦阻力,紧握绳子时可获得1000N的摩擦阻力,下滑过程中特警队员不能自由落体,至少轻握绳子才能确保安全。g取10m/s2。求:
(1)特警队员轻握绳子降落时的加速度是多大?
(2)如果要求特警队员在空中下滑过程中先轻握绳子加速下降,再紧握绳子减速下降,且着地时的速度等于5m/s,则下落时间是多少?

查看答案和解析>>

科目:高中物理 来源:0130 模拟题 题型:计算题

特警队员从悬停在空中离地235米高的直升机上沿绳下滑进行降落训练,某特警队员和他携带的武器质量共为80kg,设特警队员用特制的手套轻握绳子时可获得200N的摩擦阻力,紧握绳子时可获得1000N的摩擦阻力,下滑过程中特警队员不能自由落体,至少轻握绳子才能确保安全。g取10m/s2。求:
(1)特警队员轻握绳子降落时的加速度是多大?
(2)如果要求特警队员在空中下滑过程中先轻握绳子加速下降,再紧握绳子减速下降,且着地时的速度等于5m/s,则下落时间是多少?

查看答案和解析>>

同步练习册答案