(2014?江苏二模)如图甲所示,两平行金属板间距为2l,极板长度为4l,两极板间加上如图乙所示的交变电压(t=0时上极板带正电).以极板间的中心线OO1为x轴建立坐标系,现在平行板左侧入口正中部有宽度为l的电子束以平行于x轴的初速度v0从t=0时不停地射入两板间.已知电子都能从右侧两板间射出,射出方向都与x轴平行,且有电子射出的区域宽度为2l.电子质量为m,电荷量为e,忽略电子之间的相互作用力.
![]()
(1)求交变电压的周期T和电压U0的大小;
(2)在电场区域外加垂直纸面的有界匀强磁场,可使所有电子经过有界匀强磁场均能会聚于(6l,0)点,求所加磁场磁感应强度B的最大值和最小值;
(3)求从O点射入的电子刚出极板时的侧向位移.
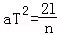
(1)交变电压的周期T=
(n=1,2,3…),电压
(n=1,2,3…);(2)所加磁场磁感应强度B的最大值
;最小值
;(3)从O点射入的电子刚出极板时的侧向位移为
﹣
其中(n=1,2,3…,k=0,1,2,3…),或
﹣
l,其中(n=1,2,3…,k=0,1,2,3…).
【解析】
试题分析:(1)电子在电场中做类平抛运动,应用类平抛运动规律可以求出周期与电压.
(2)作出电子的运动轨迹,应用数学知识求出粒子轨道半径,然后由牛顿第二定律求出磁感应强度大小.
(3)电子在极板间做类平抛运动,应用类平抛运动规律可以求出偏移量.
【解析】
(1)电子在电场中水平方向做匀速直线运动,
则:4l=v0nT,解得:T=
(n=1,2,3…),
电子在电场中运动最大侧向位移:
,由牛顿第二定律得:
,
解得:
(n=1,2,3…);
(2)粒子运动轨迹如图所示:
![]()
由图示可知,最大区域圆半径满足:
,解得:rm=2.5l,
对于带电粒子当轨迹半径等于磁场区域半径时,带电粒子将汇聚于一点,
由牛顿第二定律得:
,解得:
,
最小区域圆半径为rn=0.5l,
由牛顿第二定律得:
,解得:
;
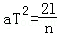
(3)设时间为τ,
,若t=kT+τ且
时电子进入电场,
则:
,其中(n=1,2,3…,k=0,1,2,3…),
若
且
进入电场
则:
,其中(n=1,2,3…,k=0,1,2,3…);
或:若电子在t=kT+τ且
进入电场时,出电场的总侧移为:
,其中(n=1,2,3…,k=0,1,2,3…);
其他解法:若
,则
电子沿+y方向第一次加速的时间为![]()
电子沿﹣y方向第一次加速的时间为t﹣kT![]()
解得:
,其中
,
,
∴
(n=1,2,3…,k=0,1,2,3…)
若
,则
电子沿﹣y方向第一次加速的时间为T﹣(t﹣kT)
电子沿+y方向第一次加速的时间为![]()
![]()
解得:
,其中
,
,∴
(n=1,2,3…,k=0,1,2,3…);
答:(1)交变电压的周期T=
(n=1,2,3…),电压
(n=1,2,3…);
(2)所加磁场磁感应强度B的最大值
;最小值
;
(3)从O点射入的电子刚出极板时的侧向位移为
﹣
其中(n=1,2,3…,k=0,1,2,3…),或
﹣
l,其中(n=1,2,3…,k=0,1,2,3…).
科目:高中物理 来源:2014-2015学年云南省玉溪市高二上学期期中考试物理试卷(解析版) 题型:选择题
质量为m的物体,在距地面h高处以g/2的加速度由静止开始竖直落下至地面,则下落过程中( )
A.物体的动能增加3mgh/2 B.物体的重力势能减少了mgh/2
C.物体的机械能减少了mgh D.物体的重力做的功为mgh
查看答案和解析>>
科目:高中物理 来源:2014-2015学年云南省景洪市高二上学期期中考试物理试卷(解析版) 题型:选择题
一平行板电容器接在电源上,当两极板间的距离增大时,如图所示,则( )
![]()
A.两极板间的电场强度将减小,极板上的电量也将减小;
B.两极板间的电场强度将减小,极板上的电量将增大;
C.两极板间的电场强度将增大,极板上的电量将减小;
D.两极板间的电场强度将增大,极板上的电量也将增大。
查看答案和解析>>
科目:高中物理 来源:2014-2015学年云南省景洪市高一上学期期中考试物理试卷(解析版) 题型:选择题
物体做直线运动时,有关物体加速度,速度的方向及它们的正负值说法正确的是( )
A.在匀加速直线运动中,物体的加速度的方向与速度方向必定相同
B.在匀减速直线运动中,物体的速度必定为负值
C.在直线线运动中,物体的速度变大时,其加速度也可能为负值
D.只有在确定初速度方向为正方向的条件下,匀加速直线运动
中的加速度才为正值
查看答案和解析>>
科目:高中物理 来源:2014-2015学年云南省景洪市高一上学期期中考试物理试卷(解析版) 题型:选择题
如图所示为甲、乙两质点的v-t图象。对于甲、乙两质点的运动,下列说法中正确的是( )
![]()
A.质点甲向所选定的正方向运动与质点乙与甲的运动方向相反
B.质点甲、乙的速度相同
C.在相同的时间内,质点甲、乙的位移相同
D.不管质点甲、乙是否从同一地点开始运动,它们之间的距离一定越来越大
查看答案和解析>>
科目:高中物理 来源:2013-2014学年江苏省苏锡常镇四市高考二模物理试卷(解析版) 题型:选择题
(2014?江苏二模)如图所示,电路中所有元件完好,但光照射到光电管上,灵敏电流计中没有电流通过,其原因可能是( )
![]()
A.入射光太弱 B.入射光波长太长
C.光照时间短 D.电源正负极接反
查看答案和解析>>
科目:高中物理 来源:2013-2014学年江苏省苏锡常镇四市高考二模物理试卷(解析版) 题型:实验题
(2014?江苏二模)同学用电阻箱、多用电表、开关和导线测一节旧干电池的电动势和内阻.
![]()
(1)他先用多用表电压档直接接在电源两极,读数如图甲,则电源电动势约为 V.
(2)为了更准确的测量电源的电动势和内电阻,他用多用表的“直流100mA”档设计了如图乙的测量电路,为了电表安全,请估算开关闭合前电阻箱的最小取值为 Ω.
(3)将多用电表的选择开关从OFF旋转至“直流100mA”档,调节电阻箱到合适的值并记录其读数R,合上开关从多用表上读出相应的示数I.
(4)重复(3)获得多组数据,根据数据作出了如图丙所示的
图线.
(5)由图线得干电池的电动势E= V(保留三位有效数字),内阻r= Ω(取整数),多用表的内电阻
对 (选填“E”、“r”或“E和r”)的测量结果有影响.
查看答案和解析>>
科目:高中物理 来源:2013-2014学年江苏省盐城市高考三模物理试卷(解析版) 题型:计算题
(2014?盐城三模)一束激光以一定入射角从空气射到直角三棱镜ABC的侧面AB上,进入三棱镜后从另一侧面AC射出,调整在AB面上的入射角,当侧面AC上恰无射出光线时,测出此时光在AB面上的入射角为60°,求三棱镜的折射率.
![]()
查看答案和解析>>
科目:高中物理 来源:2016届黑龙江省高一下学期期末考试物理试卷(解析版) 题型:选择题
质量为1kg的物体被人用手由静止向上提高2m,这时物体的速度是4m/s,下列说法中正确的是(不计一切阻力,g=10m/s2)( )
A.手对物体做功28J B.合外力对物体做功8J
C.物体机械能增加了8J D.物体重力势能增加了20J
查看答案和解析>>
湖北省互联网违法和不良信息举报平台 | 网上有害信息举报专区 | 电信诈骗举报专区 | 涉历史虚无主义有害信息举报专区 | 涉企侵权举报专区
违法和不良信息举报电话:027-86699610 举报邮箱:58377363@163.com