精英家教网 > 高中物理 > 题目详情
如图,长木板ab的b端固定一档板,木板连同档板的质量为M=4.0kg,a、b间距离s=2.0m。木板位于光滑水平面上。在木板a端有一小物块,其质量m=1.0kg,小物块与木板间的动摩擦因数μ=0.10,它们都处于静止状态。现令小物块以初速v0=4.0m/s沿木板向前滑动,直到和档板相撞。碰撞后,小物块恰好回到a端而不脱离木板。求碰撞过程中损失的机械能。
解:设木块和物块最后共同的速度为v,由动量守恒定律
设全过程损失的机械能为E,
用s1表示从物块开始运动到碰撞前瞬间木板的位移,W1表示在这段时间内摩擦力对木板所做的功。用W2表示同样时间内摩擦力对物块所做的功。用s2表示从碰撞后瞬间到物块回到a端时木板的位移,W3表示在这段时间内摩擦力对木板所做的功。用W4表示同样时间内摩擦力对物块所做的功。用W表示在全过程中摩擦力做的总功,则
W1=
W2=
W3=
W4=
W=W1+W2+W3+W4
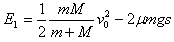
用E1表示在碰撞过程中损失的机械能,则E1=E-W ⑧
由①-⑧式解得
代入数据得E1=2.4J ⑩
练习册系列答案
相关习题

科目:高中物理 来源: 题型:

如图,长木板ab的b端固定一档板,木板连同档板的质量为M=4kg,ab间距离s=2.0m.木板位于光滑水平面上.在木板a端有一小物块,其质量m=1kg,小物块与木板间的动摩擦因数μ=0.10,它们都处于静止状态.现令小物块以初速v0=5.0m/s沿木板向前滑动,直到和档板相碰.碰撞后,小物块恰好回到a端而不脱离木板.求碰撞过程中损失的机械能.

查看答案和解析>>

科目:高中物理 来源: 题型:

(2007?黑龙江一模)如图,长木板ab的b端固定一挡板,木板连同挡板的质量为M=4.0kg,a、b间距离s=2.0m.木板位于光滑水平面上.在木板a端有一小物块,其质量m=1.0kg,小物块与木板间的动摩擦因数μ=0.10,它们都处于静止状态.现令小物块以初速v0=4.0m/s,沿木板向前滑动,直到和挡板相碰.碰撞后,小物块恰好回到a端而不脱离木板.求碰撞过程中损失的机械能.

查看答案和解析>>

科目:高中物理 来源: 题型:

精英家教网如图,长木板ab的b端固定一档板,木板连同挡板的质量为M=4.0kg,a到挡板的距离s=2.0m.木板位于光滑水平面上.在木板a端有一小物块,其质量m=1.0kg,小物块与木板间的动摩擦因数μ=0.10,它们都处于静止状态.现令小物块以初速v0=4.0m/s,沿木板向前滑动,直到和档板相撞.g=10m/s2
(1)碰撞后,若小物块恰好回到a端而不脱离木板.求碰撞过程中损失的机械能.
(2)若s=1.5m,碰撞过程中损失的机械能为3.0J,求长木板的最终速度大小?

查看答案和解析>>

科目:高中物理 来源: 题型:

(08年重点中学一模) (11分)如图,长木板ab的b端固定一挡板,木板连同挡板的质量为M=4.0kg,a、b间距离s=2.Om。木板位于光滑水平面上。在木板a端有一小物块(可视为质点),其质量m=1.0kg,小物块与木板间的动摩擦因数μ=0.1,它们都处于静止状态。现给小物块以初速度v0=4.0m/s沿木板向前滑动,直到和挡板相碰。碰撞后,小物块恰好回到a端而不脱离木板。求碰撞过程中损失的机械能。

查看答案和解析>>

科目:高中物理 来源: 题型:

(04年全国卷Ⅳ)(19分)如图,长木板ab的b端固定一档板,木板连同档板的质量为M=4.0kg,a、b间距离s=2.0m。木板位于光滑水平面上。在木板a端有一小物块,其质量m=1.0kg,小物块与木板间的动摩擦因数,它们都处于静止状态。现令小物块以初速沿木板向前滑动,直到和档板相撞。碰撞后,小物块恰好回到a端而不脱离木板。求碰撞过程中损失的机械能。

   

   

查看答案和解析>>

同步练习册答案