【题目】如图所示,水平传送带A、B两轮间的距离L=40m,离地面的髙度H=3.2 m, 传送带一起以恒定的速率v0=2 m/s向右匀速运动,两个完全一样的滑块P、Q由轻质弹簧相连接,用一轻绳把两滑块拉至最近,使弹簧处于最大压缩状态绷紧,轻放在传送带的最左端》开始时P、Q —起从静止开始运动,t1=3s时突然轻绳断开,很短时间内弹簧伸长至本身的自然长度(不考虑弹簧的长度的影响),此时滑块Q的速度大小刚好是P 的速度大小的两倍,方向相反。已知滑块的质量是m=0.2kg,滑块与传送带之间的动摩擦因数是μ=0.1,重力加速度g= 10 m/s2,求:
![]()
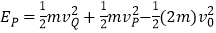
(1)弹簧处于最大压缩状态时,弹簧的弹性势能;
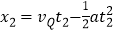
(2)两滑块落地的时间差(结果保留两位有效数字);
(3)两滑块落地点间的距离(结果保留两位有效数字)。
【答案】(1)7.2J(2)7.8s(3)44m
【解析】(1)滑块在传送带上运动的加速度大小![]()
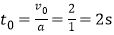
滑块从静止开始运动到与传送带相对静止所用的时间![]()
这段时间内滑块的位移
,故滑块第2s末相对传送带静止
t1=3s时,滑块的速度是v0=2m/s,滑块的位移 x1=x0+v0(t1-t0)=2+2×1=4m
弹簧弹开物体的过程,取向右为正方向,由动量守恒定律得:2mv0=mvQ+mvP
又有vQ=2vP,解得弹簧伸长至本身的自然长度时,滑块Q的速度大小vQ=8m/s,滑块P的速度大小vP=4m/s
由能量守恒定律得弹簧处于最大压缩状态时,弹性势能为![]()
解得Ep=7.2J
(2)两滑块做平抛运动的高度一样,平抛的时间相等,所以两滑块落地的时间差就是弹簧到自然长度后两滑块在传送带上的运动时间
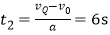
滑块Q与传送带相对静止的时间![]()
这段时间内滑块运动的位移![]()
解得x2=30m<L-x1=36m,所以滑块Q先匀减速运动,后匀速运动,
滑块Q匀速运动的时间![]()
滑块P速度减小到0时候,滑块P运动的位移![]()
滑块P滑到传送带左端时的速度![]()
运动时间![]()
两滑块落地的时间差△t=t2+t3-t4=7.8s
(3)滑块P离开传送带做平抛运动的水平距离![]()
滑块Q离开传送带做平抛运动的水平距离![]()
两滑动落地点间的距离△x=x4+L+x5=43.84m≈44m
科目:高中物理 来源: 题型:
【题目】如图所示,闭合螺线管固定在置于光滑水平面上的小车上,现将一条形磁铁从左向右插入螺线管中,则( )
![]()
A.车将向右运动
B.使条形磁铁向右插入时外力所做的功全部由螺线管转变为电能,最终转化为螺线管的内能
C.条形磁铁会受到向左的力
D.车会受到向左的力
查看答案和解析>>
科目:高中物理 来源: 题型:
【题目】图中T是绕有两组线圈的闭合铁心,线圈的绕向如图所示,D是理想的二极管,金属棒ab可在两条平行的金属导轨上沿导轨滑行,磁场方向垂直纸面向里.若电流计G中有电流通过,则ab棒的运动可能是( )
![]()
A. 向右匀减速运动, B. 向右匀速运动
C. 向左匀加速运动 D. 向左匀速运动
查看答案和解析>>
科目:高中物理 来源: 题型:
【题目】如图所示,一个有弹性的金属圆环被一根橡皮绳吊于通电直导线的正下方,直导线与圆环在同一竖直面内,当通电直导线中电流增大时,弹性圆环的面积S和橡皮绳的长度l将( )
![]()
A. S增大,l变长
B. S减小,l变短
C. S减小,l变长
D. S增大,l变短
查看答案和解析>>
科目:高中物理 来源: 题型:
【题目】横截面为直角三角形的两个相同斜面紧靠在一起,固定在水平面上,如图所示。它们的竖直边长都是底边长的一半。现有三个小球从左边斜面的顶点以不同的初速度向右平抛,最后落在斜面上,其落点分别是a、b、c 。下列判断正确的是( )
![]()
A. 三小球比较,落在a点的小球飞行时间最短
B. 三小球比较,落在c点的小球飞行过程速度变化最大
C. 三小球比较,落在c点的小球飞行过程速度变化最快
D. 无论小球抛出时初速度多大,落到斜面上的瞬时速度都不可能与斜面垂直
查看答案和解析>>
科目:高中物理 来源: 题型:
【题目】某同学在测定匀变速直线运动的加速度时,得到了几条较为理想的纸带.他已在每条纸带上按每5个点取好一个计数点,即两计数点之间的时间间隔为0.1s,依打点先后编为0、1、2、3、4、5.由于不小心,几条纸带都被撕断了,如图所示.请根据给出的A、B、C、D四段纸带回答:
![]()
(1)B、C、D三段纸带中选出从纸带A上撕下的那段应该是________;
(2)打A纸带时,物体的加速度大小是________m/s2.
(3)打计数点4时,对应的物体速度大小为_________m/s.
查看答案和解析>>
科目:高中物理 来源: 题型:
【题目】如图所示,边长为L的正方形金属框abcd,质量为m,电阻为R,用细线把它悬挂于一个有界的匀强磁场边缘,金属框的上半部处于磁场内,下半部处于磁场外.磁场随时间变化规律为B=kt(k>0),已知细线所能承受的最大拉力为2mg,求:
![]()
(1)线框中感应电流的方向;
(2)分析线框的各边所受安培力的方向;
(3)从t=0开始,经多长时间细线会被拉断?
查看答案和解析>>
科目:高中物理 来源: 题型:
【题目】如图,两圆环A、B置于同一水平面上,其中A为均匀带电绝缘环,B为导体环,当A以如图所示顺时针方向绕中心转动时,b中产生图示逆时针方向的感应电流,则
![]()
A. A可能带正电且转速减小
B. A可能带正电且转速增大
C. A可能带负电且转速减小
D. A可能带负电且转速增大
查看答案和解析>>
科目:高中物理 来源: 题型:
【题目】如图,在水平面上固定有两条间距为L的平行直导轨,导轨处于方向竖直向下、磁感应强度大小为B的匀强磁场中。两根质量均为m、电阻均为R的金属杆,间隔一定距离垂直放在直导轨上。左金属杆获得一水平初速度v0后开始向右运动,运动过程中两根金属杆始终没有相碰。设导轨光滑且足够长,不计导轨的电阻和空气阻力。则
![]()
A. 每根金属杆最终通过的电量为![]()
B. 每根金属杆最终产生的焦耳热为![]()
C. 两根金属杆之间初始间距至少为![]()
D. 最终穿过由两根金属杆和轨道组成的回路的磁通量变化量为![]()
查看答案和解析>>
湖北省互联网违法和不良信息举报平台 | 网上有害信息举报专区 | 电信诈骗举报专区 | 涉历史虚无主义有害信息举报专区 | 涉企侵权举报专区
违法和不良信息举报电话:027-86699610 举报邮箱:58377363@163.com