精英家教网 > 高中物理 > 题目详情
如图所示,A物体质量m1=2kg,长木板B质量m2=1kg,A与B之间μ1=0.4,B与地面之间μ2=0.2,A以初速度v0=6m/s滑上静止的B木板,设B足够长,求
(1)经过多长时间A、B的速度相同?
(2)若A恰好没有从B上滑下,则木板B的长度至少为多少?
(3)A运动的总位移为多大?(取g=10m/s2
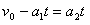
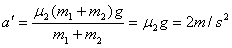
解:(1)



(2)
=3m
(3)
 
练习册系列答案
相关习题

科目:高中物理 来源: 题型:

如图所示,A物体质量m1=2kg,长木板B质量m2=1kg,A与B之间μ1=0.4,B与地面之间μ2=0.2,A以初速度v0=6m/s滑上静止的B木板,设B足够长,求
(1)经过多长时间A、B的速度相同?
(2)若A恰好没有从B上滑下,则木板B的长度至少为多少?
(3)A运动的总位移为多大?(取g=10m/s2

查看答案和解析>>

科目:高中物理 来源: 题型:

(2011?株洲二模)如图所示,A物体质量为m,B质量为2m,用一轻绳相连,将A用一轻弹簧悬挂于天花板上,系统处于静止状态,此时弹簧的伸长量为x,弹性势能为Ep,已知弹簧的弹性势能与形变量的平方成正比,且弹簧始终在弹性限度内.现将悬线剪断,则在以后的运动过程中,A物体的(  )

查看答案和解析>>

科目:高中物理 来源: 题型:解答题

如图所示,A物体质量m1=2kg,长木板B质量m2=1kg,A与B之间μ1=0.4,B与地面之间μ2=0.2,A以初速度v0=6m/s滑上静止的B木板,设B足够长,求
(1)经过多长时间A、B的速度相同?
(2)若A恰好没有从B上滑下,则木板B的长度至少为多少?
(3)A运动的总位移为多大?(取g=10m/s2

查看答案和解析>>

科目:高中物理 来源:不详 题型:问答题

如图所示,A物体质量m1=2kg,长木板B质量m2=1kg,A与B之间μ1=0.4,B与地面之间μ2=0.2,A以初速度v0=6m/s滑上静止的B木板,设B足够长,求
(1)经过多长时间A、B的速度相同?
(2)若A恰好没有从B上滑下,则木板B的长度至少为多少?
(3)A运动的总位移为多大?(取g=10m/s2
精英家教网

查看答案和解析>>

科目:高中物理 来源:株洲二模 题型:多选题

如图所示,A物体质量为m,B质量为2m,用一轻绳相连,将A用一轻弹簧悬挂于天花板上,系统处于静止状态,此时弹簧的伸长量为x,弹性势能为Ep,已知弹簧的弹性势能与形变量的平方成正比,且弹簧始终在弹性限度内.现将悬线剪断,则在以后的运动过程中,A物体的(  )
A.最大动能为
8
9
Ep-
2
3
mgx
B.最大动能为
8
9
Ep+
2
3
mgx
C.速度达到最大时,弹簧弹力做功为
1
9
Ep
D.速度达到最大时,弹簧弹力做功为
8
9
Ep
精英家教网

查看答案和解析>>

同步练习册答案