精英家教网 > 高中物理 > 题目详情

足够长的水平传送带始终以速度匀速运动,某时刻,一质量为m、速度大小为,方向与传送带运动方向相反的物体,在传送带上运动,最后物体与传送带相对静止。物体在传送带上相对滑动的过程中,滑动摩擦力对物体做的功为W1,传送带克服滑动摩擦力做的功W2,物体与传送带间摩擦产生的热量为Q,则(   )

A.W1=mv2        B.W1=2mv2         C.W2=mv2           D.Q=2mv2

 

【答案】

D

【解析】

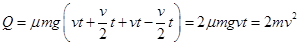
试题分析:由动能定理可知,物体动能的变化量为零,所以滑动摩擦力对物体做的功W1为零,AB错误;物体从v减速到零,再从0加速到v,两个过程的加速度相同,所用时间相同,设匀加速的时间为t,对物体从0加速到v的过程中应用动能定理得:,皮带克服摩擦力做功为,联立得,C错误;物体与传送带间摩擦产生的热量为,D正确。

考点:本题考查了动能定理和内能的计算

 

练习册系列答案
相关习题

科目:高中物理 来源: 题型:

(2012?温州模拟)如图,足够长的水平传送带始终以大小为v=3m/s的速度向左运动,传送带上有一质量为M=2kg的小木盒A,A与传送带之间的动摩擦因数为μ=0.3,开始时,A与传送带之间保持相对静止.先后相隔△t=3s有两个光滑的质量为m=1kg的小球B自传送带的左端出发,以v0=15m/s的速度在传送带上向右运动.第1个球与木盒相遇后,球立即进入盒中与盒保持相对静止,第2个球出发后历时△t1=1s/3而与木盒相遇.求(取g=10m/s2
(1)第1个球与木盒相遇后瞬间,两者共同运动的速度时多大?
(2)第1个球出发后经过多长时间与木盒相遇?
(3)自木盒与第1个球相遇至与第2个球相遇的过程中,由于木盒与传送带间的摩擦而产生的热量是多少?

查看答案和解析>>

科目:高中物理 来源: 题型:

(2010?荆州二模)足够长的水平传送带始终以速度v匀速运动,某时刻使一质量为m,初速度大小也为v的物体,沿与传送带运动方向相反的方向在传送带上滑动,教最后物体的速度与传送带相同.在物体相对传送带滑动的过程中,传送带克服摩擦力做的功为W,滑动摩擦力对物体的冲量为I,物体与传送带间摩擦生热为Q,则下列判断正确的是(  )

查看答案和解析>>

科目:高中物理 来源: 题型:

足够长的水平传送带始终以速度v匀速运动,某时刻,一质量为m、速度大小为v,方向与传送带运动方向相反的物体,在传送带上运动,最后物体与传送带相对静止.物体在传送带上相对滑动的过程中,滑动摩擦力对物体做的功为W1,传送带克服滑动摩擦力做的功W2,物体与传送带间摩擦产生的热量为Q,则(  )

查看答案和解析>>

科目:高中物理 来源: 题型:

(2011?湖南模拟)如图所示,足够长的水平传送带始终以v=3m/s的速度大小向左运动,传送带上有一质量为M=2kg、左侧面开口的小木盒A,A与传送带之间的动摩擦因数为μ=0.3,开始时,A与传送带之间保持相对静止.先后相隔△t=3s有两个质量m=1kg的光滑小球B自传送带的左端出发,以v0=15m/s的速度大小在传送带上向右运动.第1个球与木盒相遇后立即进入盒中且与盒粘合在一起获得方向向右的共同速度,这个相遇粘合的过程时间极短,损失的机械能△E=108J;第2个球出发后历时△t=
13
s而与木盒相遇.g取10m/s2.求:
(1)第1个球与木盒粘合后两者获得的共同速度大小v1
(2)第1个球从传送带左端出发到与木盒相遇所经过的时间t;
(3)自木盒与第1个球相遇到与第2个球相遇的过程中,由于木盒与传送带间的摩擦而产生的热量Q.

查看答案和解析>>

科目:高中物理 来源: 题型:

足够长的水平传送带始终以速度v匀速运动,某时刻,一质量为m、速度大小为v,方向与传送送带运动方向相反的物体,在传送带上运动,最后与传送带相对静止.物体在传送带上相对滑动的过程中,滑动摩擦力对物体做的功为W1,传送带克服滑动摩擦力做的功为W2,物体与传送带间的摩擦产生的热量为Q,则(  )
A、W1=5mv2B、W1=2mv2C、W2=mv2D、Q=2mv2

查看答案和解析>>

同步练习册答案