精英家教网 > 高中物理 > 题目详情

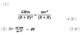
2013年6月11日,我国神舟十号载人飞船成功发射。飞船变轨后以速度v沿圆形轨道环绕地球做匀速圆周运动。已知地球半径为R,地球质量为M,引力常量为G。求:

(1)飞船绕地球运行时距地面的高度h;

(2)飞船环绕地球运行的周期T。

练习册系列答案
相关习题

科目:高中物理 来源: 题型:


中国首架空客A380大型客机在最大载重量的状态下起飞需要滑跑距离约3000 m,着陆距离大约为2000 m.设起飞滑跑和着陆时都是做匀变速直线运动,起飞时速度是着陆时速度的1.5倍,则起飞滑跑时间和着陆滑跑时间之比是

A.1∶1       B.3∶2      C.2∶3       D.9∶4

查看答案和解析>>

科目:高中物理 来源: 题型:


如图所示,一小球自空中自由落下,与正下方的直立轻质弹簧接触,直至速度为零的过程中,关于小球运动状态的下列几种描述中,正确的是( )

A.接触后,小球作减速运动,加速度的绝对值越来越大,速度越来越小,最后等于零

B.接触后,小球先做加速运动,后做减速运动,其速度先增加后减小直到为零

C.接触后,速度为零的地方就是弹簧被压缩最大之处,加速度为零的地方也是弹簧被压缩最大之处

D.接触后,小球速度最大的地方就是加速度最大的地方

查看答案和解析>>

科目:高中物理 来源: 题型:


如图所示,半径为R的光滑半圆轨道竖直放置.小球以一定的速度从A点进入半圆轨道.重力加速度为g.若小球恰能通过轨道的最高点B.则

 A.小球在B点受到重力和向心力的作用

 B.小球在A点所受支持力大小为mg

 C.小球通过B点时的速度为

 D.小球在A点时的速度为

查看答案和解析>>

科目:高中物理 来源: 题型:


已知万有引力恒量G和地球表面的重力加速度g,则还已知下面哪一选项的数据,可以计算地球的质量?

A.已知月球绕地球运行的周期及月球中心到地球中心的距离.

B.已知地球绕太阳运行的周期及地球中心到太阳中心的距离.

C.已知人造地球卫星在地面附近绕行的速度和运行周期.

D.已知地球自转的周期及地球同步卫星离地面的高度.

查看答案和解析>>

科目:高中物理 来源: 题型:


两个单摆都作简谐振动,在同一地点甲摆振动20次时,乙摆振动了40次,则(     )      

A.甲、乙摆的振动周期之比为1:2    B.甲、乙摆的振动周期之比为:1

C.甲、乙摆的摆长之比为1:4        D.甲、乙摆的摆长之比为4:1

查看答案和解析>>

科目:高中物理 来源: 题型:


一简谐机械波沿x轴正方向传播,周期为T,波长为λ。若在x=0处质点的振动图像如图6所示,则该波在t=T/2时刻的波形曲线为( )

查看答案和解析>>

科目:高中物理 来源: 题型:


一束由两种频率不同的单色光组成的复色光从空气射入玻璃三棱镜后,出射光分成ab两束,如图所示,则ab两束光

A.垂直穿过同一平板玻璃,a光所用的时间比b光长

B.从同种介质射入真空发生全反射时,a光的临界角比b光小

C.分别通过同一双缝干涉装置,b光形成的相邻亮条纹间距小

D.若照射同一金属装置都能发生光电效应,b光照射时逸出的光电子最大初动能大

查看答案和解析>>

科目:高中物理 来源: 题型:


图为模拟远距离输电实验电路图,两理想闫雅琪的匝数n1=n4n2=n3,四根模拟输电线的电阻R1R2R3R4的阻值均为RA1A2为相同的理想交流电流表,L1L2为相同的小灯泡,灯丝电阻RL>2R,忽略灯丝电阻随温度的变化。当AB端接入低压交流电源时

A.  A1A2两表的示数相同

B.  L1L2两灯泡的量度相同

C.  R1消耗的功率大于R3消耗的功率

D.  R2两端的电压小于R4两端的电压

查看答案和解析>>

同步练习册答案