一列货车以v1=28.8km/h的速度在平直铁路上运行.由于调度事故,在大雾中后面相距s0= 600m处有一列客车以v2=72km/h的速度在同一铁轨上驶来.客车司机发现货车后立即紧急制动,为不使两车相撞,客车的制动加速度至少多大?设货车速度不变.
[分析]这里有两个研究对象:货车与客车.货车始终以v
1做匀速直线运动,客车以v
2为初速作匀减速运动.不致相撞时,客车和货车应同时满足位移条件(s
客≤s
货)和速度条件(v
客≤v
货).如图1.
[解]以车行方向为正方向,设客车制动后的加速度大小为a
2.由上述不相撞的条件得

当制动加速度取最小值时,两个不等式可改为等式.由(2)式得客车速度减小到等于货车速度的时间

代入(1)式,得

整理后得

以v
1=28.8km/h=8m/s,v
2=72km/h=20m/s,s
0=600m代入得
[说明] 本题也可用v-t图求解.如图2所示,画出两车的速度图线.刚好相遇不相撞时,其中画有斜线的三角形面积数值上应等于s
0,即



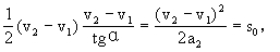
上面的计算都是以地面为参照物的.如果改以货车为参照物,即站在货车上看后方的客车,客车制动后相对于它以初速(v
2-v
1)、加速度a
2向它驶来,不相撞时,经位移s
0后恰好静止(即与货车相对静止).于


必须注意,相遇(追及)和相遇不相撞两者的物理条件不同.相遇时只需满足一个位移条件(例2);相遇不相撞还需同时满足速度条件,即后车的速度应不大于前车的速度,临界情况下两车速度相等.