精英家教网 > 高中物理 > 题目详情

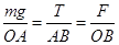
如图所示,质量均可忽略的轻绳与轻杆承受弹力的最大值一定,杆的A端用铰链固定,光滑轻小滑轮在A点正上方,B端吊一重物G,现将绳的一端拴在杆的B端,用拉力F将B端缓缦上拉,在AB杆达到竖直前(均未断),关于绳子的拉力F和杆受的弹力FN的变化,判断正确的是(    )                                    

A.F变大     B.F变小      C.FN变大 D.FN变小


【知识点】动态平衡问题考查题。B4

【答案解析】B。以B点为研究对象,它受三个力的作用而处于动态平衡状态,其中一个是轻杆的弹力T,一个是绳子斜向上的拉力F,一个是绳子竖直向下的弹力大小,大小等于物体的重力mg,根据相似三角形法,可得,由于OA和AB不变,OB逐渐减小,因此轻杆上的弹力大小不变,而绳子上的拉力越来越小,选项B正确,其余选项均错误。由此计算分析可知只有B答案正确,故选择B答案。

【思路点拨】本题考查力的动态平衡问题以及相似三角形法。要以B点为研究对象,分析其受力情况,作出受力图,利用三角形相似法,得出各力与三角形ABO三边边长关系,再分析其变化得出正确答案。

练习册系列答案
相关习题

科目:高中物理 来源: 题型:


如图,在固定斜面上的一物块受到一外力F的作用,F平行于斜面向上.若要物块在斜面上保持静止,F的取值应有一定的范围,已知其最大值和最小值分别为F1和F2(F1和F2的方向均沿斜面向上).由此可求出物块与斜面间的最大静摩擦力为(  )

 

A.

B.

2F2

C.

D.

查看答案和解析>>

科目:高中物理 来源: 题型:


如图7所示,在倾角为的固定光滑斜面上有两个用轻弹簧相连接的物块A、B,它们的质量分别为m1、m2,弹簧的劲度系数为k,C为一固定挡板,系统处于静止状态,现用一平行斜面向上的恒力F拉物块A使之向上运动,当物块B刚要离开挡板C时,物块A运动的距离为d,速度为v.则此时

A.拉力做功的瞬时功率为Fvsin

B.物块B满足m2gsin=kd

C.物块A的加速度为

D.弹簧弹性势能的增加量为

查看答案和解析>>

科目:高中物理 来源: 题型:


如图所示,直线A为电源的U-I图线,直线B和C分别为电阻R1、R2的U-I图线,用该电源分别与R1、R2组成闭合电路时,电源的输出功率分别为P1、P2,电源的效率分别为η1、η2,则(       )

A.P1>P2                   B.P1=P2

   C.η1>η2                    D.η1<η2

查看答案和解析>>

科目:高中物理 来源: 题型:


待测电阻Rx的阻值约为20Ω,现要测量其阻值,实验室提供器材如下:

A.电流表A1(量程150mA,内阻r1约为10Ω);

 
B.电流表A2(量程20mA,内阻r2=30Ω);

C.电压表V(量程15V,内阻约为3000Ω);

D.定值电阻R0=100Ω;

E.滑动变阻器R(阻值范围0~10Ω,允许最大电流1.0A);

F.电源(电动势E=4V,内阻不计);

G.开关S及导线若干。

(1)为了使测量结果准确,要求测量时电表读数变化范围较大,且不得小于其量程的1/3,以上器材不合适的是_______(用器材前对应的序号字母填写)。

(2)利用其余的实验器材,设计测量Rx的最佳实验电路,将电路图画在实线框内并标明元件符号。

(3)实验中需要测量的物理量有_______,待测电阻的表达式Rx=_________。

查看答案和解析>>

科目:高中物理 来源: 题型:


如右图所示,固定的倾斜光滑杆上套有一个质量为m的圆环,圆环与一弹性橡皮绳相连,橡皮绳的另一端固定在地面上的A点,橡皮绳竖直时处于原长h。让圆环沿杆滑下,滑到杆的底端时速度为零。则在圆环下滑过程中 (整个过程中橡皮绳始终处于弹性限度内)(    )  

A.橡皮绳的弹性势能一直增大

B.圆环的机械能先不变后减小

C.橡皮绳的弹性势能增加了mgh

D.橡皮绳再次到达原长时圆环动能最大

查看答案和解析>>

科目:高中物理 来源: 题型:


下列说法正确的是          (填正确答案标号。选对1个给3分,选对2个给4分,选对3个给6分,每选错1个扣3分,最低得分为0分)。

A.显微镜下观察到墨水中的小炭粒在不停的作无规则运动,这反映了液体分子运动的无规则性

B.分子间的相互作用力随着分子间距离的增大,一定先减小后增大

C.分子势能随着分子间距离的增大,可能先减小后增大

D.在真空、高温条件下,可以利用分子扩散向半导体材料掺入其它元素

E.当温度升高时,物体内每一个分子热运动的速率一定都增大

查看答案和解析>>

科目:高中物理 来源: 题型:


如图所示,平行板间的匀强电场范围内存在着匀强磁场,带电粒子以速度v0垂直电场从P点射入平行板间,恰好做匀速直线运动,从Q飞出,忽略重力,下列说法正确的是(  )

 

A.

磁场方向垂直纸面向里

 

B.

磁场方向与带电粒子的符号有关

 

C.

带电粒子从Q沿QP进入,也能做匀速直线运动

 

D.

粒子带负电时,以速度v1从P沿PQ射入,从Q′飞出,则v1<v0

查看答案和解析>>

科目:高中物理 来源: 题型:


热气球加速上升的过程中,关于它能量变化描述正确的是(  )

 

A.

重力势能不变,机械能不变

B.

重力势能增加,机械能不变

 

C.

重力势能增加,机械能增加

D.

重力势能不变,机械能增加

查看答案和解析>>

同步练习册答案