精英家教网 > 高中物理 > 题目详情
人造卫星绕地球做圆周运动时,卫星离地面的高度越高( )
A.周期越大
B.角速度越大
C.线速度越大
D.向心加速度越大
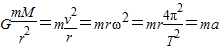
【答案】分析:卫星离地面的高度越高,则运动半径越大,根据万有引力提供圆周运动向心力展开讨论即可.
解答:解:卫星距地面越高,则运动半径r越大,根据万有引力提供圆周运动向心力有有:
A、周期T=知半径r越大,周期越大,故A正确;
B、角速度知,半径r越大,角速度ω越小,故B错误;
C、线速度知,半径r越大,线速度v越小,故C错误;
D、向心加速度a=知,半径r越大,向心加速度越小,故D错误.
故选A.
点评:抓住万有引力提供卫星圆周运动向心力,能根据表达式求出相应量与半径r的关系是解决本题的关键.
练习册系列答案
相关习题

科目:高中物理 来源: 题型:

A、B两颗人造卫星绕地球做圆周运动,它们的圆轨道在同一平面内,周期之比是
T1
T2
=
3
3
2
2
.若两颗卫星的最近距离等于地球半径R,已知在地面附近绕地球做圆周运动的卫星周期为T0.求:
(1)这两颗卫星的周期各是多少?
(2)从两颗卫星相距最近开始计时到两颗卫星相距最远至少经过多少时间?

查看答案和解析>>

科目:高中物理 来源: 题型:

人造卫星绕地球做圆周运动时,卫星离地面的高度越高(  )

查看答案和解析>>

科目:高中物理 来源: 题型:

理论研究表明,物体在地球附近都受到地球对它的万有引力作用,具有引力势能.选物体在距地球无限远处的引力势能为零,则引力势能可表示为Ep=-
GMmr
(其中G为万有引力常量,M为地球质量,m为物体的质量,r是物体到地心的距离).现有一质量m′的人造卫星绕地球做圆周运动周期T.若要从地面上将这颗卫星发射成功,则至少需做多少功?(已知地球质量为M,半径为R,万有引力常量为G,且忽略空气阻力对卫星发射的影响)

查看答案和解析>>

科目:高中物理 来源: 题型:

两颗人造卫星绕地球做圆周运动,它们的轨道半径比为1:4,则(  )

查看答案和解析>>

科目:高中物理 来源: 题型:

(2005?盐城模拟)人造卫星绕地球做圆周运动,因受大气阻力作用,它近似做半径逐渐变化的圆周运动则(  )

查看答案和解析>>

同步练习册答案