精英家教网 > 高中物理 > 题目详情
如图为某种鱼饵自动投放器中的投饵管装置示意图,其下半部AB是一长为2R的竖直细管,上半部BC是半径为R的四分之一圆弧弯管,管口沿水平方向、AB管内有一原长为R、下端固定的轻质弹簧,投饵时,每次总将弹簧长度压缩到0.5R后锁定,在弹簧上端放置一粒鱼饵,解除锁定,弹簧可将鱼饵弹射出去。设质量为m的鱼饵到达管口C时,对管壁的作用力恰好为零。不计鱼饵在运动过程中的机械能损失,且锁定和解除锁定时,均不改变弹簧的弹性势能。已知重力加速度为g。求:
(1)质量为m的鱼饵到达管口C时的速度大小v1
(2)弹簧压缩到0.5R时的弹性势能Ep
(3)已知地面与水面相距1.5R,若使该投饵管绕AB管的中轴线OO'在90°角的范围内来回缓慢转动,每次弹射时只放置一粒鱼饵,鱼饵的质量在到m之间变化,且均能落到水面。持续投放足够长时间后,鱼饵能够落到水面的最大面积S是多少?
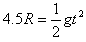
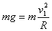
解:(1)质量为m的鱼饵到达管口C时做圆周运动的向心力完全由重力提供,则:

解得:
(2)弹簧的弹性势能全部转化为鱼饵的机械能,由机械能守恒定律,有:

联立解得:Ep=3mgR
(3)不考虑因缓慢转动装置对鱼饵速度大小的影响,质量为m的鱼饵离开管口C后做平抛运动,设经过t时间落到水面上,离OO'的水平距离为x1,由平抛运动规律,有:
,x1=v1t+R
联立解得:x1=4R
当鱼饵的质量为时,设其到达管口C时速度大小为v2,由机械能守恒定律,有:

联立解得:
质量为的鱼饵落到水面上时,设离OO'的水平距离为x2,则:x2=v2t+R
联立解得:x2=7R
鱼饵能够落到水面的最大面积为:(或8.25πR2)
练习册系列答案
相关习题

科目:高中物理 来源: 题型:

(2011?福建)如图为某种鱼饵自动投放器中的投饵管装置示意图,其下半部AB是一长为2R的竖直细管,上半部BC是半径为R的四分之一圆弧弯管,管口沿水平方向,AB管内有一原长为R、下端固定的轻质弹簧.投饵时,每次总将弹簧长度压缩到0.5R后锁定,在弹簧上端放置一粒鱼饵,解除锁定,弹簧可将鱼饵弹射出去.设质量为m的鱼饵到达管口C时,对管壁的作用力恰好为零.不计鱼饵在运动过程中的机械能损失,且锁定和解除锁定时,均不改变弹簧的弹性势能.已知重力加速度为g.求:
(1)质量为m的鱼饵到达管口C时的速度大小v1
(2)弹簧压缩到0.5R时的弹性势能Ep
(3)已知地面与水面相距1.5R,若使该投饵管绕AB管的中轴线OO′.在90°角的范围内来回缓慢转动,每次弹射时只放置一粒鱼饵,鱼饵的质量在
23
m
到m之间变化,且均能落到水面.持续投放足够长时间后,鱼饵能够落到水面的最大面积S是多少?

查看答案和解析>>

科目:高中物理 来源: 题型:

如图为某种鱼饵自动投放器中的投饵管装置示意图,其下半部AB是一长为y(y可调且y≥R)的竖直细管,上半部BC是半径为R的四分之一圆弧弯管,管口沿水平方向,AB管内有一原长为R、下端固定的轻质弹簧.投饵时,每次总将弹簧长度压缩到0.5R后锁定,在弹簧上段放置一粒鱼饵,解除锁定,弹簧可将鱼饵弹射出去.当y=2R,则质量为m的鱼饵到达管口C时,对管壁的作用力恰好为零.不计鱼饵在运动过程中的机械能损失,且锁定和解除锁定时,均不改变弹簧的弹性势能.已知重力加速度为g.求:
(1)质量为m的鱼饵到达管口C时的速度大小v1
(2)弹簧压缩到0.5R时的弹性势能Ep
(3)已知地面与水面相距0.25R,当y为何值时,鱼饵在水面的落点与C点的水平距离最大.

查看答案和解析>>

科目:高中物理 来源: 题型:

(19分)如图为某种鱼饵自动投放器中的投饵管装置示意图,其下半部AB是一长为2R的竖直细管,上半部BC是半径为R的四分之一圆弧弯管,管口沿水平方向,AB管内有一原长为R、下端固定的轻质弹簧。投饵时,每次总将弹簧长度压缩到0.5R后锁定,在弹簧上端放置一粒鱼饵,解除锁定,弹簧可将鱼饵弹射出去。设质量为m的鱼饵到达管口C时,对管壁的作用力恰好为零。不计鱼饵在运动过程中的机械能损失,且锁定和解除锁定时,均不改变弹簧的弹性势能。已知重力加速度为g。求:

⑴质量为m的鱼饵到达管口C时的速度大小v1

⑵弹簧压缩到0.5R时的弹性势能Ep

⑶已知地面与水面相距1.5R,若使该投饵管绕AB管的中轴线OO′在90º角的范围内来回缓慢转动,每次弹射时只放置一粒鱼饵,鱼饵的质量在2m/3到m之间变化,且均能落到水面。持续投放足够长时间后,鱼饵能够落到水面的最大面积S是多少?

 

查看答案和解析>>

科目:高中物理 来源:2011-2012学年重庆市西南大学附属中学高一下学期期中考试物理试卷(带解析) 题型:计算题

如图为某种鱼饵自动投放器中的投饵管装置示意图,其下半部AB是一长为2R的竖直细管,上半部BC是半径为R的四分之一圆弧弯管,管口沿水平方 向,AB管内有一原长为R、下端固定的轻质弹簧.投饵时,每次总将弹簧长度压缩到0.5R后锁定,在弹簧上端放置一粒鱼饵,解除锁定,弹簧可将鱼饵弹射出 去.设质量为m的鱼饵到达管口C时,对管壁的作用力恰好为零.不计鱼饵在运动过程中的机械能损失,且锁定和解除锁定时,均不改变弹簧的弹性势能.已知重力 加速度为g.求:

(1) 质量为m的鱼饵到达管口C时的速度大小v1
(2) 弹簧压缩到0.5R时的弹性势能Ep
(3) 已知地面与水面相距1.5R,若使该投饵管绕AB管的中轴线OO'在90°角的范围内来回缓慢转动,每次弹射时只放置一粒鱼饵,鱼饵的质量在到m之间变化,且均能落到水面.持续投放足够长时间后,鱼饵能够落到水面的最大面积S是多少?

查看答案和解析>>

科目:高中物理 来源:2015届江苏省高一下学期期末考试物理试卷(解析版) 题型:计算题

如图为某种鱼饵自动投放器中的投饵管装置示意图,其下半部AB是一长为2R的竖直细管,上半部BC是半径为R的四分之一圆弧弯管,管口沿水平方向,AB管内有一原长为R、下端固定的轻质弹簧。投饵时,每次总将弹簧长度压缩到0.5R后锁定,在弹簧上段放置一粒鱼饵,解除锁定,弹簧可将鱼饵弹射出去。设质量为m的鱼饵到达管口C时,对管壁的作用力恰好为零。不计鱼饵在运动过程中的机械能损失,且锁定和解除锁定时,均不改变弹簧的弹性势能。已知重力加速度为g。求:

(1)质量为m的鱼饵到达管口C时的速度大小v1

(2)弹簧压缩到0.5R时的弹性势能Ep

(3)已知地面与水面相距1.5R,若使该投饵管绕AB管的中轴线OO-。在角的范围内来回缓慢转动,每次弹射时只放置一粒鱼饵,鱼饵的质量在到m之间变化,且均能落到水面。持续投放足够长时间后,鱼饵能够落到水面的最大面积S是多少?

 

查看答案和解析>>

同步练习册答案