ÈçͼËùʾ£¬Èý¸öÖÊÁ¿¾ùΪmµÄµ¯ÐÔСÇòÓÃÁ½¸ù³¤¾ùΪLµÄÇáÉþÁ¬³ÉÒ»ÌõÖ±Ïß¶ø¾²Ö¹ÔÚ¹â»¬Ë®Æ½ÃæÉÏ¡£ÏÖ¸øÖмäµÄСÇòBÒ»¸öˮƽ³õËÙ¶Èv0£¬·½ÏòÓëÉþ´¹Ö±¡£Ð¡ÇòÏ໥ÅöײʱÎÞ»úеÄÜËðʧ£¬ÇáÉþ²»¿ÉÉ쳤¡£Çó£º
(1)µ±Ð¡ÇòA¡¢CµÚÒ»´ÎÏàÅöʱ£¬Ð¡ÇòBµÄËÙ¶È£»
(2)µ±Èý¸öСÇòÔٴδ¦ÔÚͬһֱÏßÉÏʱ£¬Ð¡ÇòBµÄËÙ¶È£»
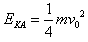
(3)Ô˶¯¹ý³ÌÖÐСÇòAµÄ×î´ó¶¯ÄÜEKAºÍ´ËʱÁ½¸ùÉþµÄ¼Ð½Ç¦È£»
(4)µ±Èý¸öСÇò´¦ÔÚͬһֱÏßÉÏʱ£¬ÉþÖеÄÀ­Á¦FµÄ´óС¡£
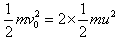
½â£º£¨1£©ÉèСÇòA¡¢CµÚÒ»´ÎÏàÅöʱ£¬Ð¡ÇòBµÄËÙ¶ÈΪvB£¬¿¼Âǵ½¶Ô³ÆÐÔ¼°ÉþµÄ²»¿ÉÉì³¤ÌØÐÔ£¬Ð¡ÇòA¡¢CÑØÐ¡ÇòB³õËÙ¶È·½ÏòµÄËÙ¶ÈҲΪvB£¬Óɶ¯Á¿Êغ㶨ÂÉ£¬µÃ

Óɴ˽âµÃ
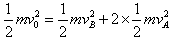
£¨2£©µ±Èý¸öСÇòÔٴδ¦ÔÚͬһֱÏßÉÏʱ£¬ÔòÓɶ¯Á¿Êغ㶨ÂɺͻúеÄÜÊØºã¶¨ÂÉ£¬µÃ


½âµÃ£¬£¨ÈýÇòÔٴδ¦ÓÚͬһֱÏߣ©
£¬£¨³õʼ״̬£¬ÉáÈ¥£©
ËùÒÔ£¬Èý¸öСÇòÔٴδ¦ÔÚͬһֱÏßÉÏʱ£¬Ð¡ÇòBµÄËÙ¶ÈΪ£¨¸ººÅ±íÃ÷Óë³õËÙ¶È·´Ïò£©
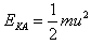
£¨3£©µ±Ð¡ÇòAµÄ¶¯ÄÜ×î´óʱ£¬Ð¡ÇòBµÄËÙ¶ÈΪÁã¡£Éè´ËʱСÇòA¡¢CµÄËÙ¶È´óСΪu£¬Á½¸ùÉþ¼äµÄ¼Ð½ÇΪ¦È£¨Èçͼ£©£¬ÔòÈÔÓɶ¯Á¿Êغ㶨ÂɺͻúеÄÜÊØºã¶¨ÂÉ£¬µÃ
 


ÁíÍâ
Óɴ˿ɽâµÃ£¬Ð¡ÇòAµÄ×î´ó¶¯ÄÜΪ£¬´ËʱÁ½¸ùÉþ¼ä¼Ð½ÇΪ
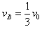
£¨4£©Ð¡ÇòA¡¢C¾ùÒÔ°ë¾¶LÈÆÐ¡ÇòB×öÔ²ÖÜÔ˶¯£¬µ±Èý¸öСÇò´¦ÔÚͬһֱÏßÉÏʱ£¬ÒÔСÇòBΪ²Î¿¼Ïµ£¨Ð¡ÇòBµÄ¼ÓËÙ¶ÈΪ0£¬Îª¹ßÐԲο¼Ïµ£©£¬Ð¡ÇòA£¨C£©Ïà¶ÔÓÚСÇòBµÄËٶȾùΪ
ËùÒÔ£¬´ËʱÉþÖÐÀ­Á¦´óСΪ
Á·Ï°²áϵÁдð°¸
Ïà¹ØÏ°Ìâ

¿ÆÄ¿£º¸ßÖÐÎïÀí À´Ô´£º ÌâÐÍ£º

ÈçͼËùʾ£¬Èý¸öÖÊÁ¿¾ùΪmµÄÎï¿éA¡¢B¡¢CÑØÒ»ÌõÖ±Ïß·ÅÔÚˮƽ¹â»¬µØÃæÉÏ£¬Îï¿éA¡¢BÖ®¼äÁ¬½ÓÓÐÒ»¸ö´¦ÓÚÔ­³¤µÄˮƽÇᵯ»É£¬A¡¢BºÍµ¯»É¾²Ö¹²»¶¯£®ÏÖÔÚ¼ÇCÒÔˮƽËÙ¶Èv0ÏòBÔ˶¯£¬ÉèCºÍBÅöײÒÔºó²»ÔÙ·Ö¿ª£¬ÊÔÇ󵯻ɵÚÒ»´ÎѹËõ×î¶Ìʱ£¬µ¯»ÉÖü´æµÄµ¯»ÉÐÔÊÆÄÜ£®

²é¿´´ð°¸ºÍ½âÎö>>

¿ÆÄ¿£º¸ßÖÐÎïÀí À´Ô´£º ÌâÐÍ£º

ÈçͼËùʾ£¬Èý¸öÖÊÁ¿¾ùΪmµÄµ¯ÐÔСÇòÓÃÁ½¸ù³¤¾ùΪLµÄÇáÉþÁ¬³ÉÒ»ÌõÖ±Ïß¶ø¾²Ö¹ÔÚ¹â»¬Ë®Æ½ÃæÉÏ£®ÏÖ¸øÖмäµÄСÇòBÒ»¸öˮƽ³õËÙ¶Èv0£¬·½ÏòÓëÉþ´¹Ö±£®Ð¡ÇòÏ໥ÅöײʱÎÞ»úеÄÜËðʧ£¬ÇáÉþ²»¿ÉÉ쳤£®Çó£º
£¨1£©µ±Ð¡ÇòA¡¢CµÚÒ»´ÎÏàÅöʱ£¬Ð¡ÇòBµÄËÙ¶È£®
£¨2£©µ±Èý¸öСÇòÔٴδ¦ÔÚͬһֱÏßÉÏʱ£¬Ð¡ÇòBµÄËÙ¶È£®

²é¿´´ð°¸ºÍ½âÎö>>

¿ÆÄ¿£º¸ßÖÐÎïÀí À´Ô´£º ÌâÐÍ£º

ÈçͼËùʾ£¬Èý¸öÖÊÁ¿¾ùΪmµÄСÇòÏ໥¼ä¾à¾ùΪL£¬ÈôCСÇò´øµçÁ¿Îª-q£¬BСÇò´øµçÁ¿Îª+q£¬ÔÚˮƽÍâÁ¦F×÷ÓÃÏ£¬ÓûʹÈý¸öСÇòÔÚ¹â»¬Ë®Æ½ÃæÉϱ£³Ö¼ä¾àLÒ»ÆðÏòF·½ÏòÔ˶¯£¬ÔòÍâÁ¦F=
9kq2
5L2
9kq2
5L2
£¬AСÇò´ø
¸º
¸º
µç£¬µçÁ¿Îª
8
5
q
8
5
q
£®

²é¿´´ð°¸ºÍ½âÎö>>

¿ÆÄ¿£º¸ßÖÐÎïÀí À´Ô´£º ÌâÐÍ£º

ÈçͼËùʾ£¬Èý¸öÖÊÁ¿¾ùΪmµÄСľ¿éÔÚÈý¸öÖÊÁ¿¾ùΪM¡¢Çã½Ç¾ùΪ¦ÁµÄ¹Ì¶¨ïÆ¿éÉÏÏ»¬£¬ËüÃÇÓëïÆ¿é¼äµÄ¶¯Ä¦²ÁÒòÊý¸÷²»Ïàͬ£¬ÖÂʹµÚһСľ¿é¼ÓËÙÏ»¬£¬µÚ¶þСľ¿éÔÈËÙÏ»¬£¬µÚÈýСľ¿éÒÔ³õËÙ¦Ô0¼õËÙÏ»¬£®ÔòÔÚÏ»¬¹ý³ÌÖУ¬ïÆ¿é¶ÔµØÃæµÄѹÁ¦N1¡¢N2¡¢N3Ö®¼äµÄ¹ØÏµÎª£¨¡¡¡¡£©

²é¿´´ð°¸ºÍ½âÎö>>

¿ÆÄ¿£º¸ßÖÐÎïÀí À´Ô´£º ÌâÐÍ£º

¾«Ó¢¼Ò½ÌÍøÈçͼËùʾ£¬Èý¸öÖÊÁ¿¾ùΪmµÄµ¯ÐÔСÇòÓÃÁ½¸ù³¤¾ùΪLµÄÇáÉþÁ¬³ÉÒ»ÌõÖ±Ïß¶ø¾²Ö¹ÔÚ¹â»¬Ë®Æ½ÃæÉÏ£®ÏÖ¸øÖмäµÄСÇòBÒ»¸öˮƽ³õËÙ¶Èv0£¬·½ÏòÓëÉþ´¹Ö±£®Ð¡ÇòÏ໥ÅöײʱÎÞ»úеÄÜËðʧ£¬ÇáÉþ²»¿ÉÉ쳤£®Çó£º
£¨1£©µ±Ð¡ÇòA¡¢CµÚÒ»´ÎÏàÅöʱ£¬Ð¡ÇòBµÄËÙ¶È£®
£¨2£©µ±Èý¸öСÇòÔٴδ¦ÔÚͬһֱÏßÉÏʱ£¬Ð¡ÇòBµÄËÙ¶È£®
£¨3£©Ô˶¯¹ý³ÌÖÐСÇòAµÄ×î´ó¶¯ÄÜEKAºÍ´ËʱÁ½¸ùÉþµÄ¼Ð½Ç¦È£®
£¨4£©µ±Èý¸öСÇò´¦ÔÚͬһֱÏßÉÏʱ£¬ÉþÖеÄÀ­Á¦FµÄ´óС£®

²é¿´´ð°¸ºÍ½âÎö>>

ͬ²½Á·Ï°²á´ð°¸