精英家教网 > 高中物理 > 题目详情

一辆汽车在平直公路上做匀变速直线运动,该公路每隔s=15m安装一个路标,如图9所示。汽车通过A、B两相邻路标的时间tAB=2s,通过B、C两相邻路标的时间tBC=3s,汽车通过A、B、C三个路标的速度是vA=___________m/s,vB=___________m/s,vC=___________m/s。

8.5    6.5    3.5

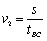
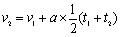
【解析】汽车做匀变速直线运动,通过A、B两相邻路标的平均速度为该段时间中间时刻的瞬时速度,=7.5m/s。通过B、C两相邻路标的平均速度为该段时间中间时刻的瞬时速度,=5.0m/s。根据匀变速运动的速度变化规律有:,代入数据解得:a=-1m/s2。所以有:,故vA=8.5m/s,vB=6.5m/s,vC=3.5m/s。

练习册系列答案
相关习题

科目:高中物理 来源: 题型:

(1)有两个做匀加速直线运动的质点,下列说法正确的是
BCE
BCE
(填正确答案标号)
A.相同时间里,速度大的质点加速度必定大
B.相同时间里,若加速度相同,初速度大的质点的末速度一定大
C.相同时间里,加速度大的质点速度变化必定大
D.相同时间里,末速度越大的质点,通过的位移一定越大
E.相同时间里,平均速度大的质点,通过的位移一定越大
(2)一辆汽车在平直公路上从A站开往B站,在开始的
1
5
位移上平均速度为v,在以后的
4
5
位移上平均速度为2v,这辆汽车全程的平均速度是多少?

查看答案和解析>>

科目:高中物理 来源: 题型:

一辆汽车在平直公路上从A站开往B站,在开始的
1
5
位移上平均速度为v,在以后的
4
5
位移上平均速度为2v,这辆汽车全程的平均速度是
5
3
v
5
3
v

查看答案和解析>>

科目:高中物理 来源: 题型:

一辆汽车在平直公路上以6m/s的速度匀速前进,刹车后以大小为2m/s2的加速度做匀减速直线运动,则从刹车开始计时,汽车在4s内通过的位移为(  )

查看答案和解析>>

科目:高中物理 来源: 题型:

一辆汽车在平直公路上以10m/s的速度行驶,由于前方有障碍物,司机发现后立即刹车,刹车加速度大小为2m/s2,则汽车经3s时的速度大小为
4
4
m/s;经10s时的位移大小是
25
25
m.

查看答案和解析>>

科目:高中物理 来源: 题型:

一辆汽车在平直公路上以15m/s的速度作匀速直线运动.从某时刻开始刹车,刹车的加速度大小为3m/s2,则刹车后10s末汽车离开始刹车点的距离是
 
m.

查看答案和解析>>

同步练习册答案