ÈçͼËùʾ£¬ÔÚ¿Õ¼äÓÐÒ»×ø±êϵxoy£¬Ö±ÏßOPÓëxÖáÕý·½ÏòµÄ¼Ð½ÇΪ
£¬µÚÒ»ÏóÏÞÄÚÓÐÁ½¸ö·½Ïò¶¼´¹Ö±Ö½ÃæÏòÍâµÄÔÈÇ¿´Å³¡ÇøÓò¢ñºÍ¢ò£¬Ö±ÏßOPÊÇËûÃǵı߽磬OPÉÏ·½ÇøÓò¢ñÖдų¡µÄ´Å¸ÐӦǿ¶ÈΪB¡£Ò»ÖÊÁ¿Îªm£¬µçºÉÁ¿ÎªqµÄÖÊ×Ó£¨²»¼ÆÖØÁ¦£©ÒÔËÙ¶Èv´ÓOµãÑØÓëOP³É
½ÇµÄ·½Ïò´¹Ö±´Å³¡½øÈëÇøÓò¢ñ£¬ÖÊ×ÓÏȺóͨ¹ý´Å³¡ÇøÓò¢ñºÍ¢òºó£¬Ç¡ºÃ´¹Ö±´òÔÚxÖáÉϵÄQµã£¨Í¼ÖÐδ»³ö£©£¬Ôò£º
![]()
A£®ÖÊ×ÓÔÚÇøÓò¢ñÖÐÔ˶¯µÄʱ¼äΪ![]()
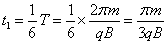
B£®ÖÊ×ÓÔÚÇøÓò¢ñÖÐÔ˶¯µÄʱ¼äΪ![]()
C£®ÖÊ×ÓÔÚÇøÓò¢òÖÐÔ˶¯µÄʱ¼äΪ![]()
D£®ÖÊ×ÓÔÚÇøÓò¢òÖÐÔ˶¯µÄʱ¼äΪ![]()
BD
¡¾½âÎö¡¿
ÊÔÌâ·ÖÎö£ºÖÊ×ÓÔÚÁ½¸ö´Å³¡ÖÐÓÉÂåÂ××ÈÁ¦ÌṩÏòÐÄÁ¦£¬¾ù×öÔÈËÙÔ²ÖÜÔ˶¯£¬Æä¹ì¼£ÈçͼËùʾ¡£
![]()
¸ù¾ÝÔ²µÄ¶Ô³ÆÐÔ¼°ÌâÉè¿ÉÖª£¬ÖÊ×Óµ½´ïOPÉϵÄAµãʱËÙ¶È·½ÏòˮƽÏòÓÒ£¬ÓëxÖáÆ½ÐУ¬¼´ÖÊ×Ó´ÓAµã³öÔÈÇ¿´Å³¡ÇøÓò¢ñʱµÄËÙ¶È·½ÏòÓëOPµÄ¼Ð½ÇΪ
£¬ÖÊ×ÓÔÚÔÈÇ¿´Å³¡ÇøÓò¢ñÖй켣µÄÔ²ÐĽÇΪ
£¬ËùÒÔÖÊ×ÓÔÚÔÈÇ¿´Å³¡ÇøÓò¢ñÖÐÔ˶¯µÄʱ¼äΪ
£¬¹ÊA´íÎó£¬BÕýÈ·£»ÉèÔÚÇøÓò¢ñÖеĹ켣°ë¾¶Îª
£¬ÔÚÇøÓò¢òÖеĹ켣°ë¾¶Îª
£¬Óɼ¸ºÎ֪ʶ֪
ΪµÈ±ßÈý½ÇÐΣ¬Ôò
£¬¸ù¾ÝÅ£¶ÙµÚ¶þ¶¨Âɵãº
£¬
£¬ÁªÁ¢½âµÃ£º
£¬¼´
£¬ÓÉÌâÉè¼°¼¸ºÎ֪ʶ¿ÉµÃ£ºÔÚÇøÓò¢òÖй켣µÄÔ²ÐĽÇΪ
£¬ËùÒÔÖÊ×ÓÔÚÇøÓò¢òÖÐÔ˶¯µÄʱ¼äΪ
£¬¹ÊC´íÎó£¬DÕýÈ·¡£ËùÒÔÑ¡BD¡£
¿¼µã£º±¾Ì⿼²é´øµçÁ£×ÓÔÚÔÈÇ¿´Å³¡ÖеÄÔ˶¯£¬ÒâÔÚ¿¼²é¿¼ÉúµÄ×ÛºÏÓ¦ÓÃÄÜÁ¦¡£
| Äê¼¶ | ¸ßÖÐ¿Î³Ì | Äê¼¶ | ³õÖÐ¿Î³Ì |
| ¸ßÒ» | ¸ßÒ»Ãâ·Ñ¿Î³ÌÍÆ¼ö£¡ | ³õÒ» | ³õÒ»Ãâ·Ñ¿Î³ÌÍÆ¼ö£¡ |
| ¸ß¶þ | ¸ß¶þÃâ·Ñ¿Î³ÌÍÆ¼ö£¡ | ³õ¶þ | ³õ¶þÃâ·Ñ¿Î³ÌÍÆ¼ö£¡ |
| ¸ßÈý | ¸ßÈýÃâ·Ñ¿Î³ÌÍÆ¼ö£¡ | ³õÈý | ³õÈýÃâ·Ñ¿Î³ÌÍÆ¼ö£¡ |
¿ÆÄ¿£º¸ßÖÐÎïÀí À´Ô´£º ÌâÐÍ£º
ij´Î¹âµçЧӦʵÑéÖУ¬²âµÃij½ðÊôµÄÈëÉä¹âµÄƵÂÊnºÍ·´Ïò¶ôÖÆµçѹUc µÄÖµÈçϱíËùʾ¡££¨ÒÑÖªµç×ӵĵçÁ¿Îªe =1.6¡Á10-19C£©
| Uc/V | 0.541 | 0.637 | 0.741 | 0.809 | 0.878 |
| n/1014Hz | 5.664 | 5.888 | 6.098 | 6.303 | 6.501 |
¸ù¾Ý±í¸ñÖеÄÊý¾Ý£¬×÷³öÁËUc-nͼÏñ£¬ÈçͼËùʾ£¬Ôò¸ù¾ÝͼÏñÇó³ö£º
¢ÙÕâÖÖ½ðÊôµÄ½ØÖ¹ÆµÂÊΪ ¡ø Hz£»£¨±£ÁôÈýλÓÐЧÊý×Ö£©
¢ÚÆÕÀʿ˳£Á¿ ¡ø J¡¤s¡£
²é¿´´ð°¸ºÍ½âÎö>>
¿ÆÄ¿£º¸ßÖÐÎïÀí À´Ô´£º ÌâÐÍ£º
СÐ͵ÇÔÂÆ÷Á¬½ÓÔÚº½ÌìÕ¾ÉÏ£¬Ò»ÆðÈÆÔÂÇò×öÔ²ÖÜÔ˶¯£¬Æä¹ìµÀ°ë¾¶ÎªÔÂÇò°ë¾¶µÄ3±¶3ijʱ ¿Ì£¬º½ÌìվʹµÇÔÂÆ÷¼õËÙ·ÖÀë,µÇÔÂÆ÷ÑØÈçͼËùʾµÄÍÖÔ²¹ìµÀµÇÔ£¬ÔÚÔÂÇò±íÃæ¶ºÁôÒ»¶Îʱ¼ä Íê³É¿Æ¿¼¹¤×÷ºó,¾¿ìËÙÆô¶¯ÈÔÑØÔÍÖÔ²¹ìµÀ·µ»Ø£¬µ±µÚÒ»´Î»Øµ½·ÖÀëµãʱǡÓ뺽ÌìÕ¾¶Ô½ÓC µÇÔÂÆ÷¿ìËÙÆô¶¯Ê±¼ä¿ÉÒÔºöÂÔ²»¼Æ£¬Õû¸ö¹ý³ÌÖк½ÌìÕ¾±£³ÖÔ¹ìµÀÈÆÔÂÔËÐС£ÒÑÖªÔÂÇò±íÃæ µÄÖØÁ¦¼ÓËÙ¶ÈΪg£¬ÔÂÇò°ë¾¶ÎªR,²»¿¼ÂÇÔÂÇò×ÔתµÄÓ°Ïì,ÔòµÇÔÂÆ÷¿ÉÒÔÔÚÔÂÇòÉÏÍ£ÁôµÄ×î¶Ì ʱ¼äԼΪ
A¡¡
¡¡¡¡¡¡¡¡¡¡B ![]()
C¡¡
¡¡¡¡¡¡¡¡ D ![]()
![]()
²é¿´´ð°¸ºÍ½âÎö>>
¿ÆÄ¿£º¸ßÖÐÎïÀí À´Ô´£º ÌâÐÍ£º
ÈçͼËùʾ£¬ÊµÏßÊÇÑØxÖá´«²¥µÄÒ»Áмòгºá²¨ÔÚt=Oʱ¿ÌµÄ²¨ÐÎͼ£¬ÐéÏßÊÇÕâÁв¨ ÔÚt=0.2sʱ¿ÌµÄ²¨ÐÎͼ¡£Ôò
A£®ÕâÁв¨µÄÖÜÆÚ¿ÉÄÜÊÇ1.2s
B. ÕâÁв¨µÄ²¨³¤Îª12m
C. ÕâÁв¨¿ÉÄÜÏò×ó´«²¥ÁË14m
D. ÕâÁв¨µÄ²¨ËÙ¿ÉÄÜÊÇ40m/s
![]()
²é¿´´ð°¸ºÍ½âÎö>>
¿ÆÄ¿£º¸ßÖÐÎïÀí À´Ô´£º ÌâÐÍ£º
ÈçͼËùʾ£¬Æ½ÐаåµçÈÝÆ÷ÓëºãѹµçÔ´Á¬½Ó£¬µç×ÓÒÔËÙ¶È
´¹Ö±Óڵ糡Ïß·½ÏòÉäÈë²¢´©¹ýƽÐаå¼äµÄµç³¡£¬Èô½öʹµçÈÝÆ÷Éϼ«°åÉÏÒÆ£¬ÉèµçÈÝÆ÷¼«°åÉÏËù´øµçºÉÁ¿Q£¬µç×Ó´©³öƽÐаåʱµÄÔÚ´¹Ö±ÓÚ°åÃæ·½ÏòÆ«ÒÆµÄ¾àÀë
£¬ÒÔÏÂ˵·¨ÕýÈ·µÄÊÇ
![]()
A.Q¼õС£¬
²»±ä B.Q¼õС£¬
¼õС C.QÔö´ó£¬
¼õС D.QÔö´ó£¬
Ôö´ó
![]()
²é¿´´ð°¸ºÍ½âÎö>>
¿ÆÄ¿£º¸ßÖÐÎïÀí À´Ô´£º ÌâÐÍ£º
Ò»¸öСµÆÅݵĶµçѹΪ2.0V,¶î¶¨µçÁ÷ԼΪ0.5A£¬Ñ¡ÓÃÏÂÁÐʵÑéÆ÷²Ä½øÐÐʵÑ飬²¢ÀûÓÃʵ
ÑéÊý¾ÝÃè»æºÍÑо¿Ð¡µÆÅݵķü°²ÌØÐÔÇúÏß
A.µçÔ´E£ºµç¶¯ÊÆÎª3.0V£¬ÄÚ×è²»¼Æ£»
B.µçѹ±íV1£ºÁ¿³ÌΪ0~3V£¬ÄÚ×èԼΪ1![]()
C.µçѹ±íV2£ºÁ¿³ÌΪ0~15V£¬ÄÚ×èԼΪ4![]()
D.µçÁ÷±íA1£ºÁ¿³ÌΪ0~3A£¬ÄÚ×èԼΪ0.1
£»
E.µçÁ÷±íA2£ºÁ¿³ÌΪ0~0.6A£¬ÄÚ×èԼΪ0.6
£»
F.»¬¶¯±ä×èÆ÷R1£º×î´ó×èֵΪl0¦¸£¬¶î¶¨µçÁ÷Ϊ0.5A£»
G.»¬¶¯±ä×èÆ÷R2£º×î´ó×èֵΪl5¦¸£¬¶î¶¨µçÁ÷Ϊ1.0A£»
H.»¬¶¯±ä×èÆ÷R3£º×î´ó×èֵΪl50¦¸£¬¶î¶¨µçÁ÷Ϊ1.0A£»
I.¿ª¹ØS£¬µ¼ÏßÈô¸É£®
ʵÑéµÃµ½ÈçÏÂÊý¾Ý£¨IºÍU·Ö±ð±íʾͨ¹ýСµÆÅݵĵçÁ÷ºÍ¼ÓÔÚСµÆÅÝÁ½¶ËµÄµçѹ£©£º
| I/A | 0.00 | 0.12 | 0.21 | 0.29 | 0.34 | 0.38 | 0.42 | 0.45 | 0.47 | 0.49 | 0.50 |
| U/V | 0.00 | 0.20 | 0.40 | 0.60 | 0.80 | 1.00 | 1.20 | 1.40 | 1.60 | 1.80 | 2£®00 |
¢ÙʵÑéÖеçѹ±íӦѡÓá¡¡¡¡¡ ¡¡¡¡£»µçÁ÷±íӦѡÓá¡¡¡¡¡ ¡¡¡¡£»
»¬¶¯±ä×èÆ÷ӦѡÓá¡¡¡¡¡¡¡ ¡¡£¨ÇëÌîдѡÏîǰ¶ÔÓ¦µÄ×Öĸ£©¡£
¢ÚÇëÄã²»Òª¸Ä¶¯ÒÑÁ¬½Óµ¼Ïߣ¬ÔÚÏÂÃæµÄʵÎïÁ¬½ÓͼÖаѻ¹ÐèÒªÁ¬½ÓµÄµ¼Ïß²¹ÉÏ£®±ÕºÏ¿ª¹ØÇ°£¬Ó¦Ê¹±ä×èÆ÷»¬Æ¬·ÅÔÚ×î £¨Ìî¡°×ó¡±»ò¡°ÓÒ¡±£©¶Ë¡£
¢ÛÔÚÏÂÃæ×ø±êÖл³öСµÆÅݵÄ
ÇúÏß¡£
¢ÜÈô½«±¾ÌâÖеÄСµÆÅݽÓÔÚµç¶¯ÊÆÊÇ1.5V¡¢ÄÚ×èÊÇ1.0
µÄµç³ØÁ½¶Ë£¬ÔòСµÆÅݵÄʵ¼Ê¹¦ÂÊԼΪ £¨±£ÁôÁ½Î»ÓÐЧÊý×Ö£©¡£
![]()
![]()
²é¿´´ð°¸ºÍ½âÎö>>
¿ÆÄ¿£º¸ßÖÐÎïÀí À´Ô´£º ÌâÐÍ£º
ͼ1ËùʾµÄ¸÷µç³¡ÖУ¬A¡¢BÁ½µã³¡Ç¿ÏàͬµÄÊÇ( )
![]()
A B ͼ1 C D
²é¿´´ð°¸ºÍ½âÎö>>
¿ÆÄ¿£º¸ßÖÐÎïÀí À´Ô´£º ÌâÐÍ£º
Èçͼ10Ëùʾ£¬ÔÚÑØË®Æ½·½ÏòµÄÔÈÇ¿µç³¡ÖÐÓÐÒ»¹Ì¶¨µãO£¬ÓÃÒ»¸ù³¤¶ÈΪl=0.4 mµÄ¾øÔµÏ¸Ïß°ÑÖÊÁ¿Îªm=0.2 kg£¬´øÓÐÕýµçºÉµÄ½ðÊôСÇòÐü¹ÒÔÚOµã£¬Ð¡Çò¾²Ö¹ÔÚBµãʱϸÏßÓëÊúÖ±·½ÏòµÄ¼Ð½ÇΪ¦È=37¡ã¡£ÏÖ½«Ð¡ÇòÀÖÁλÖÃAʹϸÏßˮƽºóÓɾ²Ö¹ÊÍ·Å£¬Çó£º
(1)СÇòÔ˶¯Í¨¹ý×îµÍµãCʱµÄËÙ¶È´óС£»
(2)СÇòͨ¹ý×îµÍµãCʱϸÏß¶ÔСÇòµÄÀÁ¦´óС¡£(gÈ¡10 m/s2£¬sin 37¡ã=0.6£¬cos 37¡ã=0.8)
¡¡¡¡¡¡¡¡¡¡¡¡¡¡¡¡¡¡¡¡¡¡¡¡¡¡¡¡¡¡¡¡¡¡¡¡¡¡¡¡¡¡¡¡¡¡¡¡¡¡¡¡¡¡¡¡¡¡¡¡¡¡¡¡¡¡¡¡¡¡¡¡¡¡¡¡¡¡Í¼10¡¡¡¡
²é¿´´ð°¸ºÍ½âÎö>>
¿ÆÄ¿£º¸ßÖÐÎïÀí À´Ô´£º ÌâÐÍ£º
¹ØÓڵ糡ÏßµÄ˵·¨£¬ÕýÈ·µÄÊÇ
¡¡¡¡A£®µç³¡Ïߵķ½Ïò£¬¾ÍÊǵçºÉÊÜÁ¦µÄ·½Ïò
¡¡¡¡B£®ÕýµçºÉÖ»Ôڵ糡Á¦×÷ÓÃÏÂÒ»¶¨Ñص糡ÏßÔ˶¯
¡¡¡¡C£®µç³¡ÏßÔ½Ãܵĵط½£¬Í¬Ò»µçºÉËùÊܵ糡Á¦Ô½´ó
¡¡¡¡D£®¾²µç³¡µÄµç³¡Ïß¿ÉÄÜÊDZպϵÄ
²é¿´´ð°¸ºÍ½âÎö>>
¹ú¼ÊѧУÓÅÑ¡ - Á·Ï°²áÁбí - ÊÔÌâÁбí
ºþ±±Ê¡»¥ÁªÍøÎ¥·¨ºÍ²»Á¼ÐÅÏ¢¾Ù±¨Æ½Ì¨ | ÍøÉÏÓк¦ÐÅÏ¢¾Ù±¨×¨Çø | µçÐÅթƾٱ¨×¨Çø | ÉæÀúÊ·ÐéÎÞÖ÷ÒåÓк¦ÐÅÏ¢¾Ù±¨×¨Çø | ÉæÆóÇÖȨ¾Ù±¨×¨Çø
Î¥·¨ºÍ²»Á¼ÐÅÏ¢¾Ù±¨µç»°£º027-86699610 ¾Ù±¨ÓÊÏ䣺58377363@163.com