精英家教网 > 高中物理 > 题目详情
【选修3-5选做题】
如图所示,光滑曲面轨道的水平出口与停在光滑水平面上的平板小车上表面相平,小车上表面不光滑,质量为m的小滑块从光滑轨道上某处由静止开始滑下并滑上小车,使得小车在水平面上滑动。已知小滑块从高为H的位置由静止开始滑下,最终停到小车上。若小车的质量为M,重力加速度为g,求:
(1)滑块滑上小车后,小车达到的最大速度v;
(2)该过程系统产生的内能Q。
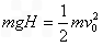
解:(1)滑块由高处运动到轨道底端的过程中,机械能守恒,则


滑块滑上平板后,系统水平方向不受外力,动量守恒,小车的最大速度为与滑块达到的共同速度,设为v,则
mv0=(m+M)v
解得
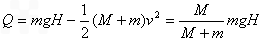
(2)由能量转化与守恒定律知,系统产生的内能等于系统损失的机械能,即
练习册系列答案
相关习题

科目:高中物理 来源:模拟题 题型:计算题

【选修3-5选做题】
一个物体静置于光滑水平面上,外面扣一质量为M的盒子,如图1所示。现给盒子一初速度v0,此后,盒子运动的v-t图象呈周期性变化,如图2所示。请据此求盒内物体的质量。

查看答案和解析>>

科目:高中物理 来源:湖北省模拟题 题型:计算题

【选修3-5选做题】
如图所示,在光滑的水平桌面上有一长为L=2 m的木板C,它的两端各有一块挡板,C的质量为mC=5 kg,在C的中央并排放着两个可视为质点的滑块AB,其质量分别为mA=1 kg、mB=4 kg,开始时ABC均处于静止状态,并且AB间夹有少许炸药,炸药爆炸使得AvA=6 m/s的速度水平向左运动,不计一切摩擦,两滑块中任一块与挡板碰撞后就与挡板合成一体,爆炸与碰撞时间不计,求:
(1)当两滑块都与挡板碰撞后,板C的速度多大?
(2)从爆炸开始到两个滑块都与挡板碰撞为止,板C的位移多大?方向如何?

查看答案和解析>>

科目:高中物理 来源:模拟题 题型:计算题

【选修3-5选做题】
如图所示,固定在地面上的光滑圆弧轨道AB、EF,他们的圆心角均为90°,半径均为R。一质量为m、上表面长也为R的小车静止在光滑水平面CD上,小车上表面与轨道AB、EF的末端B、E相切。一质量为m的物体(大小不计)从轨道AB的A点由静止下滑,由末端B滑上小车,小车在摩擦力的作用下向右运动。当小车右端与壁DE刚接触时,物体m恰好滑动到小车右端相对于小车静止,同时小车与DE相碰后立即停止运动但不粘连,物体则继续滑上圆弧轨道EF,以后又滑下来冲上小车。求:
(1)物体从A点滑到B点时的速率和滑上EF前的瞬时速率;
(2)水平面CD的长度。

查看答案和解析>>

科目:高中物理 来源:模拟题 题型:计算题

【选修3-5选做题】
如图所示,光滑水平面上有A、B两个滑块,两滑块由一轻质弹簧连接,已知滑块A的质量是滑块B质量的,子弹质量是滑块B质量的。若滑块A被水平速度为v0的子弹射中,且子弹嵌在物体A的中心,求:
(1)木块A的最大速度是多少?
(2)运动过程中,木块B的最大速度是多少?

查看答案和解析>>

科目:高中物理 来源:模拟题 题型:计算题

【选修3-5选做题】
如图所示,两个质量分别为M1、M2的劈A、B,高度相同。放在光滑水平面上,A、B的上表面为光滑曲面,曲面末端与地面相切。有一质量为m的物块(可视为质点)自劈A顶端自由下滑。劈顶端到地面距离h=0.06 m,劈A与物块的质量比s。求:
(1)物块离开A的瞬间A和物块的速度各为多少;(g=10 m/s2)
(2)物块从A上滑下后又冲上B,若要保证物块离开B后不能追上A,则B与物块的质量比应满足什么条件。

查看答案和解析>>

同步练习册答案