精英家教网 > 高中物理 > 题目详情
如图所示为两个物体A、B在同一直线上的不同地点,沿同一方向同时做匀变速直线运动的速度-时间图象,已知在第3s末两个物体在途中相遇,如果以A的出发位置为坐标原点,A、B的运动方向为直线坐标系x的正方向,求:
(1)物体A的加速度的大小和方向
(2)第3s末两个物体在途中相遇时,物体B经过的位移的大小和方向
(3)物体B的出发位置坐标xB

【答案】分析:速度时间图线的斜率表示加速度,与时间轴围成的面积表示位移,根据图线围成的面积进行分析.
解答:解:(1)根据图象得:            
方向沿x轴的正方向          
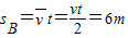
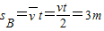
(2)
方向沿x轴的正方向             
(3)AB相遇表示到达同一位置,此时刻A的位移为:
所以xB=sA-sB=3m
答:(1)物体A的加速度的大小为,方向沿x轴的正方向;
(2)第3s末两个物体在途中相遇时,物体B经过的位移的大小为3m,方向沿x轴的正方向;
(3)物体B的出发位置坐标xB为3m.
点评:解决本题的关键知道速度时间图线的斜率表示加速度,图线与时间轴围成的面积表示位移.
练习册系列答案
相关习题

科目:高中物理 来源: 题型:

如图所示为两个物体A和B在同一直线上沿同一方向同时做匀加速运动的v-t图线.已知在第3s末两个物体在途中相遇,则下列说法正确的是(  )

查看答案和解析>>

科目:高中物理 来源: 题型:

如图所示为两个物体A、B在同一直线上沿同一方向同时作匀变速直线运动的速度---时间图象,已知在第3s末两个物体在途中相遇,如果以A的出发位置为坐标原点,A、B的运动方向为直线坐标系x的正方向,则物体B的出发位置坐标xB为(  )

查看答案和解析>>

科目:高中物理 来源: 题型:

如图所示为两个物体A、B在同一直线上的不同地点,沿同一方向同时做匀变速直线运动的速度-时间图象,已知在第3s末两个物体在途中相遇,如果以A的出发位置为坐标原点,A、B的运动方向为直线坐标系x的正方向,求:
(1)物体A的加速度的大小和方向
(2)第3s末两个物体在途中相遇时,物体B经过的位移的大小和方向
(3)物体B的出发位置坐标xB

查看答案和解析>>

科目:高中物理 来源: 题型:

(2013山西忻州一中检测)如图所示为两个物体AB在同一直线上沿同一方向同时做匀加速运动的vt图线。已知在第3 s末两个物体在途中相遇,则两个物体出发点的关系是

A.从同一地点出发   

B.AB前3 m处

C.BA前3 m处  

D.BA前5 m处

查看答案和解析>>

科目:高中物理 来源:2013-2014学年河北省高一10月月考物理试卷(解析版) 题型:选择题

如图所示为两个物体A和B在同一直线上沿同一方向同时做匀加速运动的v-t图线。已知在第3 s末两个物体在途中相遇,则两个物体出发点的关系是

A.从同一地点出发

B.A在B前3 m处

C.B在A前3 m处

D.B在A前5 m处

 

查看答案和解析>>

同步练习册答案