精英家教网 > 高中物理 > 题目详情

如图所示,在x轴上关于原点O对称的两点固定放置等量异种点电荷+Q和-Qx轴上的P点位于-Q的右侧.下列判断正确的是(  )

①在x轴上还有一点与P点电场强度相同 ②在x轴上还有两点与P点电场强度相同 ③若将一试探电荷+qP点移到O点,电势能增大 ④若将一试探电荷+qP点移到O点,电势能减小

A.①③          B.①④

C.②③           D.②④

 

【答案】

A

【解析】

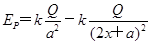
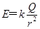
试题分析:由点电荷产生的场强公式和场强叠加知识得,若-QO点的距离为xP点与-Q的距离为a,则可得P点场强为,方向水平向左,根据对称性特点知,①正确,②错误;根据等量异种电荷形成的电场特点知,O点电势为零,而P点电势小于零,故将+qP点移至O点,电场力做负功,其电势能一定增大,所以③正确,故选项A正确.

考点:电势能;电场强度;电场线

点评:对于几种典型的电场如正负点电荷、等量同种电荷、等量异种电荷周围电场线、等势线等分布情况要熟练掌握.

 

练习册系列答案
相关习题

科目:高中物理 来源: 题型:

(2006?连云港三模)如图所示,矩形导线框abcd固定在水平面上,ab=L、bc=2L,整个线框处于竖直方向的磁感应强度为B的匀强磁场中.导线框上ab、cd段电阻不计,bc、ad段单位长度上的电阻为λ.今在导线框上放置一个与ab边平行且与导线框接触良好的金属棒MN,其电阻为r(r<λL).金属棒在外力作用下沿x轴正方向做速度为v的匀速运动,在金属棒从导线框最左端(x=0)运动到最右端的过中:
(1)请导出金属棒中的感应电流I随x变化的函数关式;
(2)通过分析说明金属棒在运动过程中,MN两点间电压  有最大值,并求出最大值Um
(3)金属棒运动过程中,在什么位置MN的输出功率最大?并求出最大输出功率Pm

查看答案和解析>>

科目:高中物理 来源:2007-2008学年江苏省常州市高三(上)期末物理试卷(解析版) 题型:解答题

如图所示,矩形导线框abcd固定在水平面上,ab=L、bc=2L,整个线框处于竖直方向的磁感应强度为B的匀强磁场中.导线框上ab、cd段电阻不计,bc、ad段单位长度上的电阻为λ.今在导线框上放置一个与ab边平行且与导线框接触良好的金属棒MN,其电阻为r(r<λL).金属棒在外力作用下沿x轴正方向做速度为v的匀速运动,在金属棒从导线框最左端(x=0)运动到最右端的过中:
(1)请导出金属棒中的感应电流I随x变化的函数关式;
(2)通过分析说明金属棒在运动过程中,MN两点间电压  有最大值,并求出最大值Um
(3)金属棒运动过程中,在什么位置MN的输出功率最大?并求出最大输出功率Pm

查看答案和解析>>

同步练习册答案