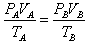
精英家教网 > 高中物理 > 题目详情
如图所示,一定质量的理想气体从状态A变化到状态B,再从状态B变化到状态C。已知状态A的温度为480K。求:
(1)气体在状态C时的温度;
(2)试分析从状态A变化到状态B的整个过程中,气体是从外界吸收热量还是放出热量。
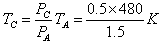
解:(1)A,C两状态体积相等,则有
得:=160K
(2)由理想气体状态方程
得:K=480 K
由此可知A、B两状态温度相同,故A、B两状态内能相等;而该过程体积增大,气体对外做功,由热力学第一定律得:气体吸收热量
练习册系列答案
相关习题

科目:高中物理 来源: 题型:

如图所示,一定质量的小球,用一根细线悬挂于O点,在O正下方O'处有一钉子.将小球拉到P处后释放,当它摆到最低点P'时,悬线被钉子挡住.在绳与钉子相碰的瞬间,下列说法正确的是(  )

查看答案和解析>>

科目:高中物理 来源: 题型:

如图所示是一定质量的理想气体从状态A经B至C的P-
1
V
图线,则在此过程中(  )

查看答案和解析>>

科目:高中物理 来源: 题型:

(2013?惠州模拟)如图所示是一定质量的理想气体的P-T图线(P为气体压强,T为气体温度),当气体状态发生沿图线A到B的变化,下列说法中正确的是(  )

查看答案和解析>>

科目:高中物理 来源: 题型:

(2012?潮州二模)如图所示是一定质量的理想气体的P-T图线(P为气体压强,T为气体温度),当气体状态沿图线由A到B的过程,下列说法中正确的是(  )

查看答案和解析>>

科目:高中物理 来源: 题型:

精英家教网如图所示,一定质量的理想气体,沿状态A→B→C变化,则温度最高的是
 
状态,密度最大的是
 
状态(填“A”、“B”、“C”)

查看答案和解析>>

同步练习册答案