精英家教网 > 高中物理 > 题目详情
如图,MNP为竖直面内一固定轨道,其圆弧段MN与水平段NP相切于N、P端固定一竖直挡板。M相对于N的高度为h,NP长度为s。一木块自M端从静止开始沿轨道下滑,与挡板只发生一次完全弹性碰撞后停止在水平轨道上某处。若在MN段的摩擦可忽略不计,物块与NP段轨道间的滑动摩擦因数为,求物块停止的地方与N点距离的可能值。
解:根据功能原理,在物块从开始下滑到停止在水平轨道上的过程中,
物块的重力势能的减少与物块克服摩擦力所做功的数值相等。

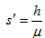
设物块的质量为m,在水平轨道上滑行的总路程为s′,则

连立①②③化简得:
第一种可能是:物块与弹性挡板碰撞后,在N前停止,
则物块停止的位置距N的距离为
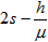
第二种可能是:物块与弹性挡板碰撞后,可再一次滑上光滑圆弧轨道,
滑下后在水平轨道上停止,则物块停止的位置距N的距离为
所以物块停止的位置距N的距离可能为
练习册系列答案
相关习题

科目:高中物理 来源: 题型:

如图,MNP 为竖直面内一固定轨道,其圆弧段MN与水平段NP相切于N、P端固定一竖直挡板.M相对于N的高度为h,NP长度为s.一木块自M端从静止开始沿轨道下滑,与挡板最多发生一次碰撞,且碰撞前后速度不变,停止在水平轨道上某处.若在MN段的摩擦可忽略不计,物块与NP段轨道间的滑动摩擦因数为μ,求物块停止的地方与N点距离的可能值(  )

查看答案和解析>>

科目:高中物理 来源: 题型:

如图,MNP为竖直面内一固定轨道,其圆弧段MN与水平段NP相切于N、P端固定一竖直挡板.M相对于N的高度为h,NP长度为s.一木块自M端从静止开始沿轨道下滑,与挡板发生一次完全弹性碰撞后停止在水平轨道上某处.若在MN段的摩擦可忽略不计,物块与NP段轨道间的滑动摩擦因数为μ,求物块停止的地方与N点距离的可能值.

查看答案和解析>>

科目:高中物理 来源: 题型:

精英家教网如图,MNP为竖直面内一固定轨道,其
1
4
圆弧段MN与水平段NP相切于NP端固定一竖直挡板,NP长度
为2m,圆弧半径为1m.一个可视为质点的物块自.M端 从静止开始沿轨道下滑,与挡板发生碰撞(只改变速度方向而不改变速度大小)后,最 终停止在水平轨道上某处.已知物块在MN段的摩擦可忽略不计,与NP段轨道间的滑 动摩擦因数为0.2.则物块(  )

查看答案和解析>>

科目:高中物理 来源: 题型:

(15分)

如图,MNP为竖直面内一固定轨道,其圆弧段MN与水平段NP相切于N、P端固定一竖直挡板。M相对于N的高度为h,NP长度为s。一木块自M端从静止开始沿轨道下滑,与挡板发生一次完全弹性碰撞后停止在水平轨道上某处。若在MN段的摩擦可忽略不计,物块与NP段轨道间的滑动摩擦因数为,求物块停止的地方与N点距离的可能值。

 

 

查看答案和解析>>

科目:高中物理 来源:2011年福建省泉州市高三周考5物理卷 题型:计算题

如图,MNP为竖直面内一固定轨道,其圆弧段MN与水平段NP相切于N,P端固定一竖直挡板。M相对于N的高度为h,NP长度为s。一木块自M端从静止开始沿轨道下滑,与挡板发生一次完全弹性碰撞后停止在水平轨道上某处。若在MN段的摩擦可忽略不计,物块与NP段轨道间的滑动摩擦因数为μ,求物块停止的地方与N点距离的可能值。

 

查看答案和解析>>

同步练习册答案