精英家教网 > 高中物理 > 题目详情

汽车以10m/s的速度在平直公路上匀速行驶,突然发现前方xm处有一辆自行车正以4m/s的速度做同方向的匀速直线运动,汽车立即关闭油门,并以的加速度做匀减速直线运动.如果汽车恰好撞不上自行车,则x应为多大?

答案:略
解析:

x3m

  对于这样的追及问题,往往有两种处理方法.

解法Ⅰ:利用速度相等这一条件求解.

当汽车的速度和自行车的速度相等时,相距最近,

时,即,即时间为

若此时两车恰好未相撞,则位移相等,

得,

解得x=3m,所以汽车撞不上自行车的条件是:x3m

解法Ⅱ:利用数学知识的二次方程判定求解.

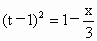
如果两车恰好未相遇,则,即

  代入数值,得,变形得一元二次方程

,即

显然,当x3时,此方程无解,即不能相撞.

  这是一道很典型的追及问题.开始阶段汽车的速度大,所以它们之间的距离逐渐减小,到速度相等时距离最小,如果此时汽车恰好没有碰上自行车,以后它们之间的距离就会变大,再也不会碰上了,这是一种方法.另一种方法是利用二次方程判定求解.


练习册系列答案
相关习题

科目:高中物理 来源: 题型:

汽车正以 10m/s 的速度在平直公路上前进,突然发现正前方有一辆自行车以 4m/s 的速 度做同方向的匀速直线运动,汽车立即关闭油门做加速度大小为 6m/s2 的匀减速运动,汽车恰好不碰上自行车,求关闭油门时汽车离自行车多远?

查看答案和解析>>

科目:高中物理 来源: 题型:解答题

汽车正以 10m/s 的速度在平直公路上前进,突然发现正前方有一辆自行车以 4m/s 的速 度做同方向的匀速直线运动,汽车立即关闭油门做加速度大小为 6m/s2 的匀减速运动,汽车恰好不碰上自行车,求关闭油门时汽车离自行车多远?

查看答案和解析>>

科目:高中物理 来源:不详 题型:问答题

汽车正以 10m/s 的速度在平直公路上前进,突然发现正前方有一辆自行车以 4m/s 的速 度做同方向的匀速直线运动,汽车立即关闭油门做加速度大小为 6m/s2 的匀减速运动,汽车恰好不碰上自行车,求关闭油门时汽车离自行车多远?

查看答案和解析>>

科目:高中物理 来源: 题型:

计算下列物体的加速度:
  (1)一辆汽车从车站出发作匀加速运动,经10s速度达到108km/h.
  (2)高速列车过桥后沿平直铁路匀加速行驶,经3min速度从54km/h提高到180km/h.
  (3)沿光滑水平地面以10m/s运动的小球,撞墙后以原速大小反弹,与墙壁接触时间为0.2s.

查看答案和解析>>

科目:高中物理 来源:2009-2010学年广东省实验中学高一(上)期末物理试卷(解析版) 题型:解答题

汽车正以 10m/s 的速度在平直公路上前进,突然发现正前方有一辆自行车以 4m/s 的速 度做同方向的匀速直线运动,汽车立即关闭油门做加速度大小为 6m/s2 的匀减速运动,汽车恰好不碰上自行车,求关闭油门时汽车离自行车多远?

查看答案和解析>>

同步练习册答案