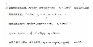
如图传送带A、B之间的距离为L =3.2 m,与水平面间夹角 θ = 37°,传送带沿顺时针方向转动,速度恒为v =2 m/s,在上端A点无初速放置一个质量为m=1kg、大小可视为质点的金属块,它与传送带的动摩擦因数为μ = 0.5,金属块滑离传送带后,经过弯道,沿半径R = 0.4 m的光滑圆轨道做圆周运动,刚好能通过最高点E,已知B、D两点的竖直高度差为h = 0.5m (取g=10m/s2) .
求:(1)金属块经过D点时的速度
(2)金属块在BCD弯道上克服摩擦力做的功.
![]()
科目:高中物理 来源: 题型:
有甲乙两颗近地卫星均在赤道平面内自西向东绕地球做匀速圆周运动,甲处于高轨道,乙处于低轨道,并用绳子连接在一起,下面关于这两颗卫星的说法错误的是( )
A.甲卫星一定处在乙卫星的正上方
B.甲卫星的线速度小于乙卫星的线速度
C.甲卫星的加速度大于乙卫星的加速度
D.若甲乙之间用导电缆绳相连,则缆绳两端会产生电势差
查看答案和解析>>
科目:高中物理 来源: 题型:
在xOy平面内,直线OP与y轴的夹角α=45°。第一、第二象限内存在方向分别为竖直向下和水平向右的匀强电场,电场强度大小均为E=1.0×105 N/C;在x轴下方有垂直于纸面向外的匀强磁场,磁感应强度B=0.1T,如图所示。现有一带正电的粒子从直线OP上某点A(-L, L)处静止释放。设粒子的比荷
=4.0×107 C/kg,粒子重力不计。求:
(1)若L=2 cm,粒子进入磁场时与x轴交点的横坐标及粒子速度的大小和方向;
(2)如果在直线OP上各点释放许多个上述带电粒子(粒子间的相互作用力不计),试证明各带电粒子进入磁场后做圆周运动的圆心点的集合为一抛物线。
![]()
查看答案和解析>>
科目:高中物理 来源: 题型:
如图所示,一个匝数n=100、边长L=0.1m的正方形导线框abcd,以v=1m/s的速度向右匀速进入磁感应强度B=0.5T的匀强磁场,在运动过程中线框平面始终与磁场垂直,已知线框的总电阻R=25Ω。求在进入磁场的整个过程中
(1)导线中感应电流的大小;
(2)ab边所受安培力的大小;
(3)线框中产生的热量。
查看答案和解析>>
科目:高中物理 来源: 题型:
某带电物体所在空间形成一个电场,沿x轴方向其电势φ的变化如图所示.电子从O点以v0的初速度沿x轴正方向射出,依次通过a、b、c、d点.则下列关于电子运动的描述正确的是
A.在oa间电子做匀加速直线运动
B.电子在od之间一直在做减速直线运动
C.要使电子能到达无穷远处,粒子的初速度
至少为![]()
![]()
D.在cd间运动时电子的电势能一定增大
![]()
查看答案和解析>>
科目:高中物理 来源: 题型:
下列说法正确的是
A.汤姆生通过对阴极射线的研究发现了电子
B.玻尔建立了量子理论,成功解释了各种原子的发光现象
C.用任何频率的光照射处于基态的氢原子都可以使其发生跃迁
D.原子由激发态向基态跃迁时吸收能量
查看答案和解析>>
科目:高中物理 来源: 题型:
如图所示,空间存在水平向左的匀强电场和垂直纸面向里的水平匀强磁场。在该区域中,有一个竖直放置的光滑绝缘圆环,环上套有一个带正电的小球。O点为圆环的圆心,a、b、c、d为圆环上的四个点,a点为最高点,c点为最低点,b、O、d三点在同一水平线上。已知小球所受电场力与重力大小相等。现将小球从环的顶端a点由静止释放,下列判断正确的是( )
A.小球能越过d点并继续沿环向上运动
B.当小球运动到d点时,不受洛伦兹力
C.小球从d点运动到b点的过程中,重力势能减小,电势能减小
D.小球从b点运动到c点的过程中,经过弧
中点时速度最大
![]()
查看答案和解析>>
科目:高中物理 来源: 题型:
如图甲所示,某课外研究小组将一个压力传感器安装在离心轨道圆周部分的最低点B处,他们把一个钢球从轨道上的不同高处由静止释放。得到多组压力传感器示数F和对应的释放点的高度h的数据后,作出了如图乙所示的F-h图象。不计各处摩擦,取g=10
。
(1)求该研究小组用的离心轨道圆周部分的半径R
(2)当h=0.6m,小球到达圆周上最高点C点、时,轨道对小球的压力多大?
![]()
查看答案和解析>>
科目:高中物理 来源: 题型:
如图所示,理想变压器的原线圈输入电压的交流电,电路中电阻R=10Ω,M是标有“10V、10W"的电动机,其绕线电阻r=1Ω,电动机正常工作.下列说法正确的是
A.变压器原、副线圈的匝数比是22:1
B.电流表示数是11A
C.电动机的输出功率为1W
D.变压器的输入功率为20W
![]()
查看答案和解析>>
湖北省互联网违法和不良信息举报平台 | 网上有害信息举报专区 | 电信诈骗举报专区 | 涉历史虚无主义有害信息举报专区 | 涉企侵权举报专区
违法和不良信息举报电话:027-86699610 举报邮箱:58377363@163.com