精英家教网 > 高中物理 > 题目详情
一根弹性绳沿x轴方向放置,左端在原点O处,用手握住绳的左端使其沿y轴方向做周期为1 s的简谐运动,于是在绳上形成一简谐波,绳上质点N的平衡位置为x=5 m,振动传播到质点M时的波形如图所示,求:
(1)绳的左端振动后经多长时间传播到质点N;
(2)质点N开始振动时,绳的左端已通过的路程。
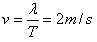
解:(1)由图可知,波长λ=2 m ①
波速
振动传播到质点经历的时间
(2)质点N开始振动时,绳的左端已通过的路程
练习册系列答案
相关习题

科目:高中物理 来源: 题型:

一根弹性绳沿x轴方向放置,在原点O,用手握住绳的左端使其沿y轴方向做周期为1s的简谐运动,于是在绳上形成一列简谐波,如图所示,从波传到平衡位置在x=1m处的M质点时开始计时,求:
(1)从计时开始,经过多长时间,平衡位置在x=4.5m处的N质点开始振动
(1)从计时开始,经过多长时间,N质点恰好第一次沿y轴正向通过平衡位置?
(2)2.875s时,N点的位移?

查看答案和解析>>

科目:高中物理 来源: 题型:

一根弹性绳沿x轴方向放置,左端在原点O,用手握住绳的左端使其沿y轴方向做周期为1s的简谐运动,于是在绳上形成一列简谐波.求:
(1)该简谐横波的波长、波速各为多少?
(2)若从波传到平衡位置在x=1m处的M质点时开始计时,作出M点的振动图象.并且计算经过多长时间,平衡位置在x=4.5m处的N质点恰好第一次沿y轴正向通过平衡位置?在图中准确画出当时弹性绳上的波形.
(3)从绳的左端质点开始做简谐运动起,当左端质点通过的总路程为88cm时,质点N振动通过的总路程是多少?

查看答案和解析>>

科目:高中物理 来源: 题型:

(2013?河南模拟)一根弹性绳沿x轴方向放置,左端在原点O处,用手握住绳的左端使其沿y轴方向做简谐运动,在绳上形成一简谐波,绳上质点N的平衡位置为x=5m,从绳左端开始振动计时,经过0.5s振动传播到质点M时的波形如图所示,求:
①绳的左端振动后经多长时间传播到质点N?质点N开始振动时,绳的左端质点已通过的路程.
②画出质点N从t=2.5s开始计时的振动图象.

查看答案和解析>>

科目:高中物理 来源: 题型:

[物理一选修3-4]
精英家教网
(1)一根弹性绳沿x轴方向放置,左端在坐标原点O,用手握住绳的左端使其沿y轴方向做周期为1s的简谐运动,于是在绳上形成一列简谐波.已知t=0时波传至平衡位置在x1=1m处的质点M,此时波形如图所示.
①该列波的波速是
 
m/s;t=0.1s时,质点M的速度沿
 
方向.
②在图中画出t=2.25s时刻弹性绳上的完整波形.
(2)为了从坦克内部观察外部目标,在坦克壁上开了一个长方形孔.假定坦克的壁厚为b(未知).已知孔的左右两边距离为a,孔内安装一块折射率n的玻璃.厚度与坦克的壁厚相同(俯视图如图).坦克内的人通过这块玻璃调整眼睛位置可看到的外界的最大角度范围为2θ,试求坦克的壁厚b.

查看答案和解析>>

科目:高中物理 来源: 题型:

精英家教网一根弹性绳沿x轴方向放置,左端在原点O处,用手握住绳的左端使其沿y轴方向做周期为1s的简谐运动,于是在绳上形成一简谐波,绳上质点N的平衡位置为x=5m,振动传播到质点M时的波形如图所示,求:
①绳的左端振动经多长时间传播到质点N;
②质点N开始振动时,绳的左端已通过的路程.

查看答案和解析>>

同步练习册答案