精英家教网 > 高中物理 > 题目详情

已知某行星半径为R,以其第一宇宙速度运行的卫星绕行星的周期为T,该行星上发射的同步卫星的运行速度为V,则同步卫星距行星表面高度为多高?求该行星的自转周期?

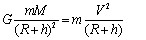
对同步卫星,由万有引力提供向心力得:

同理对近地卫星有     ② 

由①②式所求的高度为:    

同步卫星周期为,

由于同步卫星与该行星的周期相同,

所求的自转周期为: 

练习册系列答案
相关习题

科目:高中物理 来源: 题型:

已知某行星半径为R,以其第一宇宙速度运行的卫星的绕行周期为T,该行星上发射的同步卫星的运行速度为v.求
(1)同步卫星距行星表面的高度为多少?
(2)该行星的自转周期为多少?

查看答案和解析>>

科目:高中物理 来源: 题型:

已知某行星半径为R,以其第一宇宙速度运行的卫星绕行星的周期为T,该行星上发射的同步卫星的运行速度为V,则同步卫星距行星表面高度为多高?求该行星的自转周期?

查看答案和解析>>

科目:高中物理 来源: 题型:

已知某行星半径为R,以其第一宇宙速度运行的卫星绕行星的周期为T,在该行星上发射的同步卫星,若在同步轨道上速度控制为v时,就可与该行星的自转同步,求:

(1)同步卫星距该行星表面的高度;

(2)该行星的自转周期.

查看答案和解析>>

科目:高中物理 来源:黑龙江省模拟题 题型:计算题

已知某行星半径为R,以该行星第一宇宙速度运行的卫星绕行周期为T,在该行星上发射同步卫星的运行速度为v。求:
(1)同步卫星距行星表面的高度为多少?
(2)若忽略行星的自转,该行星表面的重力加速度为多少?

查看答案和解析>>

科目:高中物理 来源:广东 题型:问答题

已知某行星半径为R,以其第一宇宙速度运行的卫星绕行星的周期为T,该行星上发射的同步卫星的运行速度为V,则同步卫星距行星表面高度为多高?求该行星的自转周期?

查看答案和解析>>

同步练习册答案