ÈçͼËùʾ£¬ÓÐÒ»¹â»¬¹ìµÀABC£¬ABΪÊúÖ±Æ½ÃæÄڰ뾶ΪRµÄËÄ·ÖÖ®Ò»Ô²»¡¹ìµÀ£¬BC²¿·ÖΪ×ã¹»³¤µÄˮƽ¹ìµÀ¡£Ò»¸öÖÊÁ¿Îªm1µÄСÎïÌå×ÔA´¦Óɾ²Ö¹ÊÍ·Å£¬m1ÑØÔ²»¡¹ìµÀAB»¬Ï£¬ÓëÔÚˮƽ¹ìµÀBCÉÏÖÊÁ¿Îªm2µÄ¾²Ö¹µÄÎïÌåÏàÅö¡£
£¨1£©Èç¹ûm2ÓëˮƽÇᵯ»ÉÏàÁ¬£¬µ¯»ÉµÄÁíÒ»¶ËÁ¬Ôڹ̶¨×°ÖÃPÉÏ¡£m1»¬µ½Ë®Æ½¹ìµÀºóÓëm2·¢ÉúÅöײµ«²»Õ³Á¬£¬Åöײºóm1Óëm2Ò»Æð½«µ¯»ÉѹËõºó±»µ¯»Ø£¬m1Óëm2ÖØÐ·ֿª¡£Èôµ¯»ÉѹËõºÍÉ쳤¹ý³ÌÖÐÎÞ»úеÄÜËðʧ£¬ÇÒm1=m2£¬Çóm1·´µ¯ºóÄÜ´ïµ½µÄ×î´ó¸ß¶È£»
£¨2£©Èç¹ûÈ¥µôÓëm2ÏàÁ¬µÄµ¯»É¼°¹Ì¶¨×°ÖÃP£¬m1ÈÔ´ÓA´¦Óɾ²Ö¹ÊÍ·Å¡£
a£®Èôm1=m2£¬ÇÒm1Óëm2µÄÅöײ¹ý³ÌÖÐÎÞ»úеÄÜËðʧ£¬ÇóÅöײºóm1ÄÜ´ïµ½µÄ×î´ó¸ß¶È¡£
b£®Èôm1Óëm2µÄÅöײ¹ý³ÌÖÐÎÞ»úеÄÜËðʧ£¬ÒªÊ¹m1Óëm2Ö»ÄÜ·¢ÉúÁ½´ÎÅöײ£¬Çóm2Óëm1µÄ±ÈÖµ·¶Î§¡£

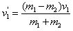
½â£º£¨1£©m1´ÓA»¬µ½BÖØÁ¦ÊÆÄÜת»¯Îª¶¯ÄÜ£¬m1µÄËÙ¶È´ïµ½v1
 ¢Ù
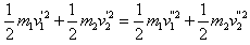
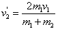
m1Óëm2·¢ÉúÅöײʱµ¯»É´¦ÓÚ×ÔȻ״̬£¬ÏµÍ³¶¯Á¿Êغ㣬ÅöײºóÒÔ¹²Í¬ËÙ¶Èv¹²ÏòÓÒÔ˶¯

v¹²= ¢Ú
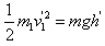
m1Óëm2Ò»Æð½«µ¯»ÉѹËõºóÓÖ±»µ¯»Ø£¬µ±µ¯»É»Ö¸´µ½×ÔÈ»³¤¶Èʱm1Óëm2ÖØÐ·ֿª£¬´Ëʱm1Óëm2µÄËٶȶ¼Îªv¹²£¬m1ÒÔv¹²Îª³õËÙ¶È»¬ÉÏÔ²»¡¹ìµÀ£¬Éèm1ÄÜ´ïµ½µÄ×î´ó¸ß¶ÈÊÇh
 
½âµÃ
£¨2£©³·È¥µ¯»É¼°¹Ì¶¨×°Öúó
a. m1Óëm2·¢ÉúÅöײʱϵͳ¶¯Á¿Êغ㣬ÇÒûÓлúеÄÜËðʧ¡£ÉèÏòÓÒΪÕý·½Ïò£¬ÓÐ
 ¢Û
 ¢Ü
´úÈëm1=m2¿ÉµÃ£¬¸ººÅ±íʾm1Ïò×óÔ˶¯
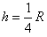
´Ëºóm1³åÉÏÔ²»¡¹ìµÀ£¬Éèm1ÄÜ´ïµ½µÄ×î´ó¸ß¶ÈÊÇ

½«´øÈëÉÏʽ£¬¿ÉµÃ
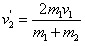
b. m1»¬µ½Ë®Æ½¹ìµÀÒÔËÙ¶Èv1Óë¾²Ö¹µÄm2·¢ÉúµÚÒ»´ÎÅöײ£¬ÉèÏòÓÒΪÕý·½Ïò£¬ÓÐ


½âµÃ£¬
ÒªÄÜ·¢ÉúµÚ¶þ´ÎÅöײµÄÌõ¼þÊÇv1'<0£¬¼´m1£¼m2£»ÇÒ|v1'|£¾v2'£¬¼´|m1£­m2|£¾2m1£¬¿ÉµÃm2£¾3m1 ¢Ý
m1´ÓÔ²»¡¹ìµÀÉÏ»¬Ï£¬ÒÔËÙ¶ÈÓëËÙ¶ÈΪµÄm2·¢ÉúµÚ¶þ´ÎÅöײ£¬ÓÐ


µÚ¶þ´ÎÅöºóm1ºÍm2µÄËÙ¶È ¢Þ£¬ ¢ß
²»·¢ÉúµÚÈý´ÎÅöײµÄÌõ¼þΪ¡Ü£¬¼´-¡Ü¡Ü
Ôò
½â²»µÈʽ
µÃ ¢à
½â²»µÈʽ
µÃm2¡Ý3m1 »òm2¡Ü-m1 ¢á
×ۺϢݡ¢¢à¡¢¢á£¬m1Óëm2Ö»ÄÜ·¢ÉúÁ½´ÎÅöײµÄÌõ¼þΪ
Á·Ï°²áϵÁдð°¸
Ïà¹ØÏ°Ìâ

¿ÆÄ¿£º¸ßÖÐÎïÀí À´Ô´£º ÌâÐÍ£º

ÈçͼËùʾ£¬Ò»¸öÄÚ¹ì¹â»¬Íâ¹ì´Ö²ÚµÄÔ²ÐιìµÀÊúÖ±·ÅÖã¬Ô²ÐÄ´¦ÓÐÒ»¸ö´øÕýµçµÄµãµçºÉ£¨ÄÚÍâ¹ìÏà¾àºÜ½ü£¬°ë¾¶¾ù¿ÉÊÓΪR£©£¬ÔÚ¹ìµÀ×îµÍµã·ÅÒ»¸ö´ø¸ºµçµÄСÇò£¬ÖÊÁ¿Îªm£¬Ö±¾¶ÂÔСÓÚÄÚÍâ¹ìµÄ¾àÀ룬ÏÖ¸øÐ¡ÇòÒ»¸öˮƽ³õËÙ¶Èv0=
2gR
£¬¾­¹ýÒ»¶Îʱ¼äºó£¬Ð¡ÇòÔÚP¡¢QÖ®¼äÀ´»ØÍù¸´Ô˶¯²»Ö¹£¬OP¡¢OQÓëÊúÖ±·½ÏòµÄ¼Ð½ÇΪ¦È=37¡ã£®£¨cos37¡ã=0.8£¬sin37¡ã=0.6£©ÊÔÇó£º
£¨1£©Ð¡ÇòÄÜ·ñͨ¹ý×î¸ßµã£¿
£¨2£©Ð¡ÇòÓëÔ²ÐĵãµçºÉµÄ¿âÂØÁ¦£»
£¨3£©Õû¸ö¹ý³ÌÖÐСÇòÔÚ×îµÍµã¶ÔÍâ¹ìµÄ×î´óѹÁ¦£»
£¨4£©Õû¸ö¹ý³ÌÖÐСÇò¿Ë·þĦ²ÁËù×öµÄ¹¦WfºÍ¿âÂØÁ¦Ëù×öµÄ¹¦Wk£®

²é¿´´ð°¸ºÍ½âÎö>>

¿ÆÄ¿£º¸ßÖÐÎïÀí À´Ô´£º ÌâÐÍ£º

¾«Ó¢¼Ò½ÌÍøÈçͼËùʾ£¬Ò»¸ù¹â»¬µÄ¾øÔµÐ±²ÛÁ¬½ÓÒ»¸öÊú·ÅÖõİ뾶ΪR=0.50mµÄÔ²ÐξøÔµ¹â»¬²Û¹ì£®²Û¹ì´¦ÔÚ´¹Ö±Ö½ÃæÏòÍâµÄÔÈÇ¿´Å³¡ÖУ¬´Å¸ÐӦǿ¶ÈB=0.50T£®ÓÐÒ»¸öÖÊÁ¿m=0.10g£¬´øµçÁ¿Îªq=+1.6¡Á10-3CµÄСÇòÔÚб¹ìµÀÉÏijλÖÃÓɾ²Ö¹×ÔÓÉÏ»¬£¬ÈôСÇòÇ¡ºÃÄÜͨ¹ý×î¸ßµã£¬ÔòÏÂÁÐ˵·¨ÖÐÕýÈ·µÄÊÇ£¨ÖØÁ¦¼ÓËÙ¶ÈÈ¡10m/s2£©£¨¡¡¡¡£©

²é¿´´ð°¸ºÍ½âÎö>>

¿ÆÄ¿£º¸ßÖÐÎïÀí À´Ô´£º ÌâÐÍ£º

¾«Ó¢¼Ò½ÌÍøÈçͼËùʾ£¬Ò»¹â»¬µÄ°ë¾¶ÎªRµÄ°ëÔ²ÐιìµÀ·ÅÔÚË®Æ½ÃæÉÏ£¬Ò»¸öÖÊÁ¿ÎªmµÄСÇòÒÔijһËÙ¶È´ÓAµã³åÉϰëÔ²ÐιìµÀ£¬Ð¡ÇòÔÚ¹ìµÀ¿ÚBµãˮƽ·É³öǰ˲¼äÊܵ½¹ìµÀµÄѹÁ¦Îª3mg£® Çó£º
£¨1£©Ð¡ÇòÔÚ¹ìBµãµÄËÙ¶È£¿
£¨2£©Ð¡ÇòÀ뿪Bµãµ½Â䵨µãCµÄˮƽ¾àÀëÓжàÔ¶£¿

²é¿´´ð°¸ºÍ½âÎö>>

¿ÆÄ¿£º¸ßÖÐÎïÀí À´Ô´£ºÎïÀí½ÌÑÐÊÒ ÌâÐÍ£º038

ÔÚÊúÖ±Æ½ÃæÄÚÓÐһƽÐй⻬µ¼¹ìMN¡¢PQ£¬¹ì¿í0£®2m£¬ÔÚµ¼¹ì¼äÁ¬½Óµç×èR£½0£®2¦¸£¬µ¼¹ì¼äÓÐÒ»ÔÈÇ¿´Å³¡B£½0£®5T£¬·½ÏòÈçͼËùʾ£®ÓÐÒ»µ¼Ìå°ôABÖÊÁ¿m£½0£®01kg£¬ÄÜÓëµ¼¹ìʼÖÕ±£³ÖÁ¼ºÃ½Ó´¥²¢ÄÜÑØµ¼¹ì»¬¶¯£®AB´Ó¾²Ö¹¿ªÊ¼Ï»¬£¬ËüÄÜ´ïµ½µÄ×î´óËÙ¶ÈÊǶàÉÙ?(ÆäÓàµç×è²»¼Æ)

 

²é¿´´ð°¸ºÍ½âÎö>>

¿ÆÄ¿£º¸ßÖÐÎïÀí À´Ô´£º ÌâÐÍ£º038

ÔÚÊúÖ±Æ½ÃæÄÚÓÐһƽÐй⻬µ¼¹ìMN¡¢PQ£¬¹ì¿í0£®2m£¬ÔÚµ¼¹ì¼äÁ¬½Óµç×èR£½0£®2¦¸£¬µ¼¹ì¼äÓÐÒ»ÔÈÇ¿´Å³¡B£½0£®5T£¬·½ÏòÈçͼËùʾ£®ÓÐÒ»µ¼Ìå°ôABÖÊÁ¿m£½0£®01kg£¬ÄÜÓëµ¼¹ìʼÖÕ±£³ÖÁ¼ºÃ½Ó´¥²¢ÄÜÑØµ¼¹ì»¬¶¯£®AB´Ó¾²Ö¹¿ªÊ¼Ï»¬£¬ËüÄÜ´ïµ½µÄ×î´óËÙ¶ÈÊǶàÉÙ?(ÆäÓàµç×è²»¼Æ)

 

²é¿´´ð°¸ºÍ½âÎö>>

ͬ²½Á·Ï°²á´ð°¸